Официальное опубликование правовых актов
ОФИЦИАЛЬНОЕ ОПУБЛИКОВАНИЕ
Постановление Правительства Севастополя от 03.06.2019 № 374-ПП
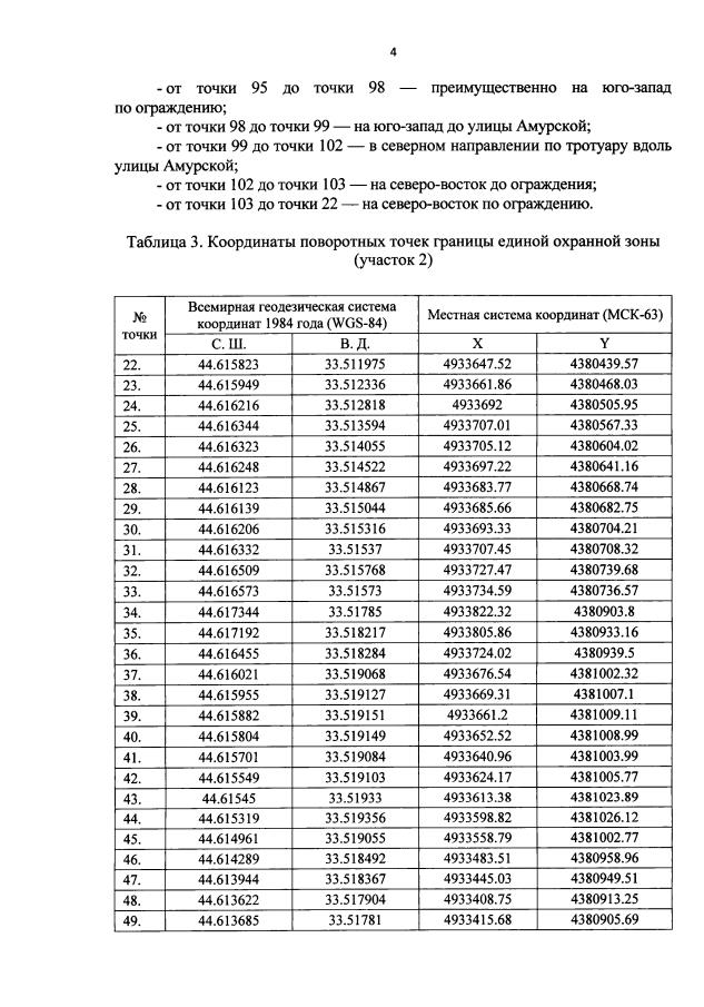
"Об утверждении границ объединенной зоны охраны, режимов использования земель и требований к градостроительным регламентам в границах территории объединенной зоны охраны объектов культурного наследия регионального значения "Скульптурная композиция "Солдат и матрос" (город Севастополь, мыс Хрустальный, ул. Капитанская, д. 2), "Обелиск городу-герою Севастополю" (город Севастополь, мыс Хрустальный), "Оборонительная стена 7-го бастиона" (город Севастополь, Крепостной переулок)"
Номер опубликования: 9200201906110017
Дата опубликования: 11.06.2019
Страница №6 из 27:
Увеличить