Официальное опубликование правовых актов
ОФИЦИАЛЬНОЕ ОПУБЛИКОВАНИЕ
Постановление Правительства Севастополя от 18.02.2019 № 101-ПП
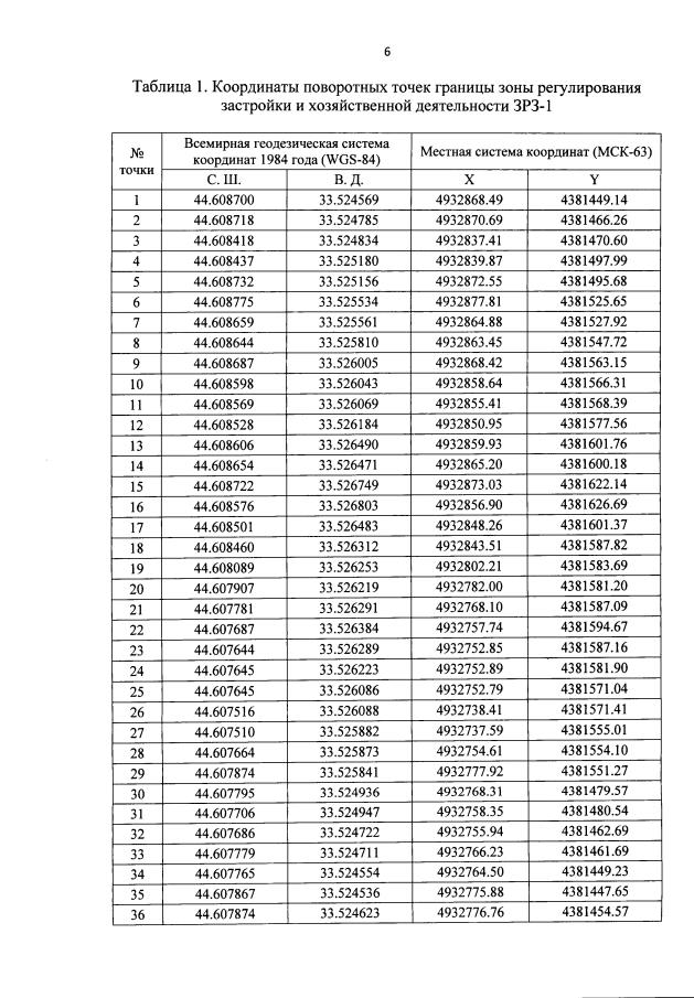
"Об утверждении зон охраны объекта культурного наследия федерального значения "Петропавловский собор", расположенного по адресу: Российская Федерация, г. Севастополь, ул. Луначарского, д. 37"
Номер опубликования: 9200201902250046
Дата опубликования: 25.02.2019
Страница №8 из 16:
Увеличить