Официальное опубликование правовых актов
ОФИЦИАЛЬНОЕ ОПУБЛИКОВАНИЕ
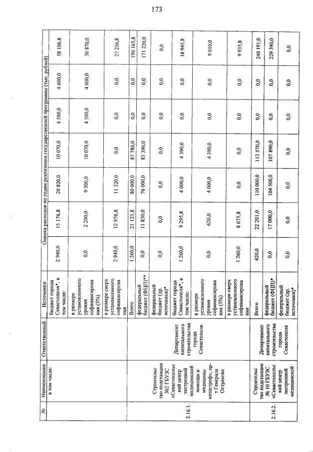
Постановление Правительства Севастополя от 04.02.2019 № 32-ПП "О внесении изменений в постановление Правительства Севастополя от 23.11.2016 № 1115-ПП "Об утверждении государственной программы города Севастополя "Развитие здравоохранения в городе Севастополе"
Номер опубликования: 9200201902110007
Дата опубликования: 11.02.2019
Страница №174 из 226:
Увеличить