Официальное опубликование правовых актов
ОФИЦИАЛЬНОЕ ОПУБЛИКОВАНИЕ
Постановление Правительства Севастополя от 06.12.2018 № 812-ПП
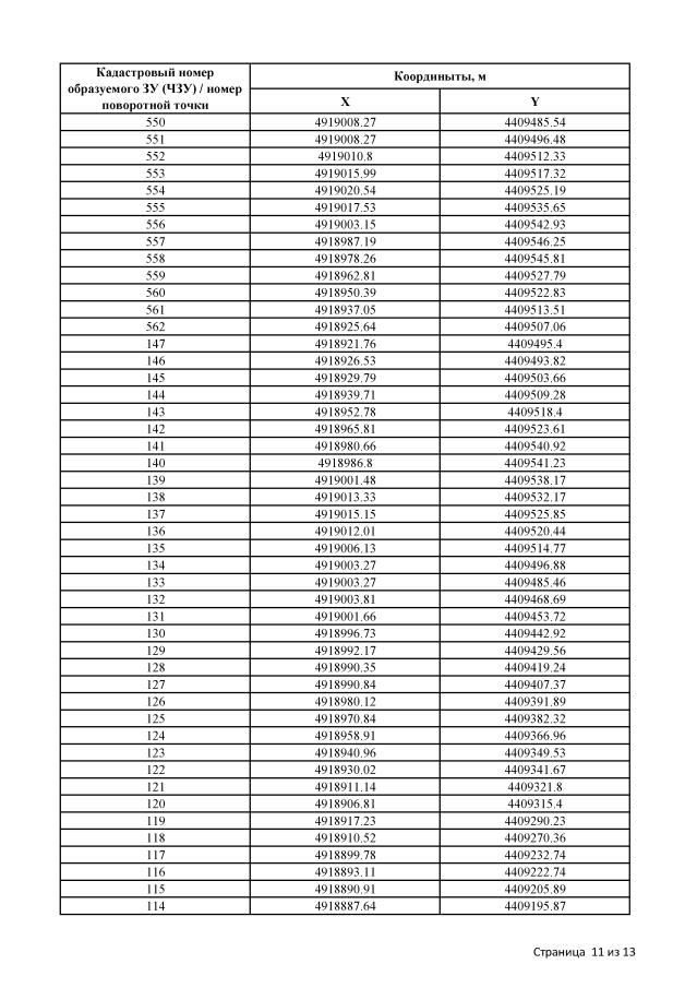
"Об утверждении градостроительной документации по проекту планировки и проекту межевания территории линейного объекта "Газификация сел Байдарской долины, село Колхозное (среднее давление)" в Орлиновском муниципальном округе"
Номер опубликования: 9200201812130018
Дата опубликования: 13.12.2018
Страница №105 из 138:
Увеличить