Официальное опубликование правовых актов
ОФИЦИАЛЬНОЕ ОПУБЛИКОВАНИЕ
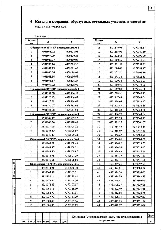
Постановление Правительства Севастополя от 08.11.2018 № 741-ПП "Об утверждении градостроительной документации по проекту планировки и проекту межевания территории линейного объекта "Канализование ул. Декабристов, г. Севастополь" в Ленинском внутригородском муниципальном образовании города Севастополя"
Номер опубликования: 9200201811150002
Дата опубликования: 15.11.2018
Страница №38 из 45:
Увеличить