Официальное опубликование правовых актов
ОФИЦИАЛЬНОЕ ОПУБЛИКОВАНИЕ
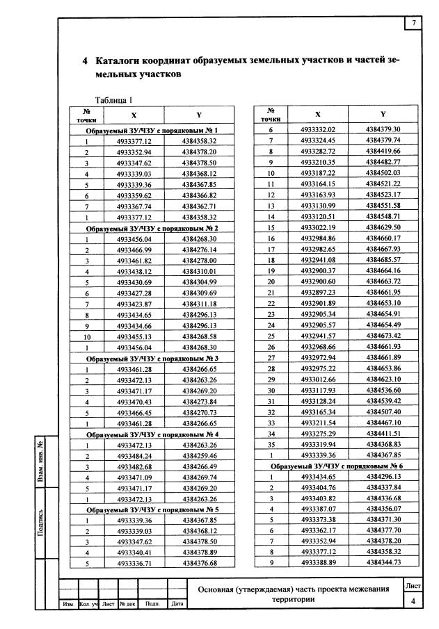
Постановление Правительства Севастополя от 01.11.2018 № 728-ПП "Об утверждении градостроительной документации по проекту планировки и проекту межевания территории линейного объекта "Строительство системы канализации для приема стоков от жилого дома по ул. Мореходной, 5 и объектов войсковой части, г. Севастополь" в Нахимовском внутригородском муниципальном образовании города Севастополя"
Номер опубликования: 9200201811070009
Дата опубликования: 07.11.2018
Страница №36 из 41:
Увеличить