Официальное опубликование правовых актов
ОФИЦИАЛЬНОЕ ОПУБЛИКОВАНИЕ
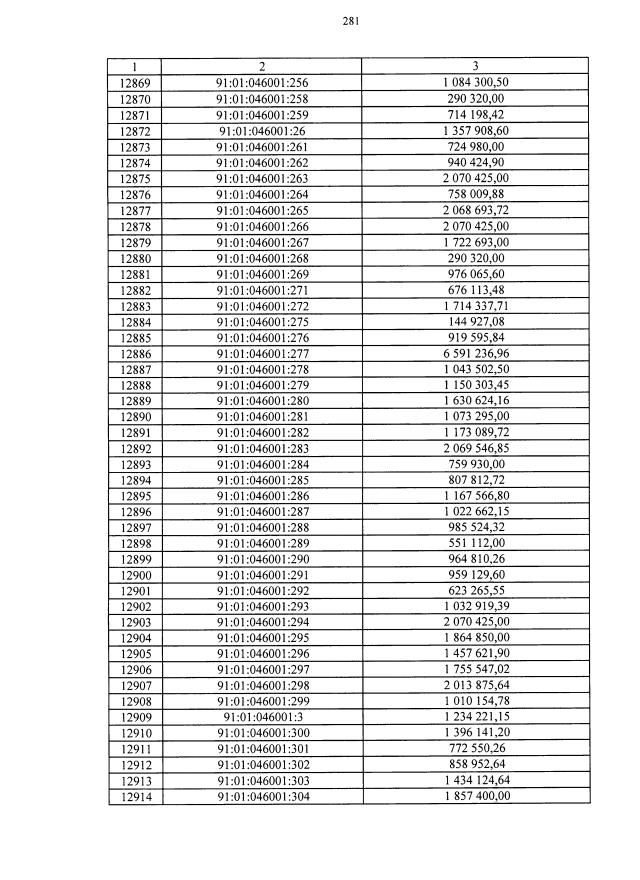
Постановление Правительства Севастополя от 25.10.2018 № 716-ПП "Об утверждении результатов определения кадастровой стоимости земельных участков, расположенных на территории города Севастополя"
Номер опубликования: 9200201810300006
Дата опубликования: 30.10.2018
Страница №283 из 1068:
Увеличить