Официальное опубликование правовых актов
ОФИЦИАЛЬНОЕ ОПУБЛИКОВАНИЕ
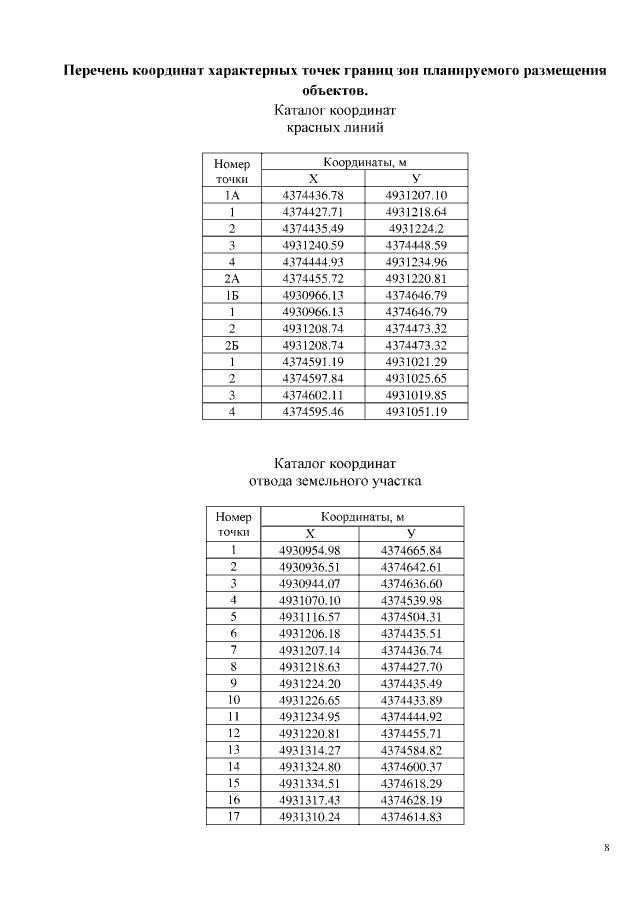
Постановление Правительства Севастополя от 03.10.2018 № 650-ПП "Об утверждении градостроительной документации проекта планировки и проекта межевания территории линейного объекта "Строительство подъездной дороги к детскому саду и школе на Античном проспекте"
Номер опубликования: 9200201810090005
Дата опубликования: 09.10.2018
Страница №73 из 83:
Увеличить