Официальное опубликование правовых актов
ОФИЦИАЛЬНОЕ ОПУБЛИКОВАНИЕ
Постановление Правительства Севастополя от 12.07.2018 № 436-ПП
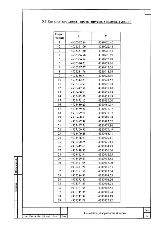
"Об утверждении документации по планировке территории линейного объекта "Строительство канализационной насосной станции (КНС) и напорных коллекторов от жилых домов по ул. Загороднянского № 11 - 31"
Номер опубликования: 9200201807180010
Дата опубликования: 18.07.2018
Страница №18 из 44:
Увеличить