Официальное опубликование правовых актов
ОФИЦИАЛЬНОЕ ОПУБЛИКОВАНИЕ
Постановление Правительства Севастополя от 12.07.2018 № 437-ПП
"Об утверждении документации по планировке территории линейного объекта "Строительство канализационной насосной станции (КНС) и напорных коллекторов от жилых домов по ул. Софьи Перовской, 11, 12, 45, 46"
Номер опубликования: 9200201807180005
Дата опубликования: 18.07.2018
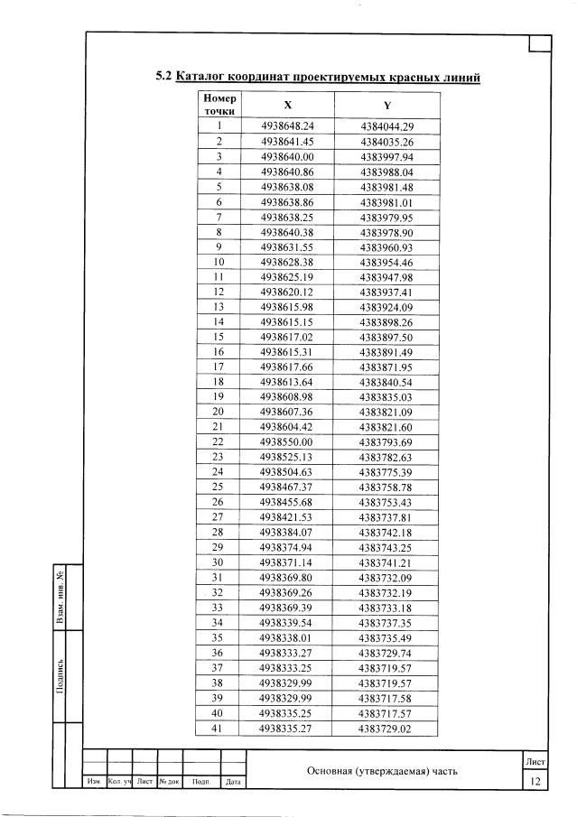
Страница №18 из 45:
Увеличить