Официальное опубликование правовых актов
ОФИЦИАЛЬНОЕ ОПУБЛИКОВАНИЕ
Приказ Министерства культуры Республики Крым от 19.02.2026 № 198-ОКН
"Об утверждении границ зон охраны, режимов использования земель и требований к градостроительным регламентам в границах зон охраны объектов культурного наследия федерального значения "Комплекс кенас", XVIII век (ансамбль): "Большая кенаса", "Малая кенаса", "Дворики с аркадами" по адресу: Республика Крым, г. Евпатория, ул. Караимская, д. 68, ул. Ефета, д. 26, литеры "Б", "Б1", "Б2", "Г"
(Зарегистрирован 24.02.2026 № 3316)
Номер опубликования: 9101202602260007
Дата опубликования: 26.02.2026
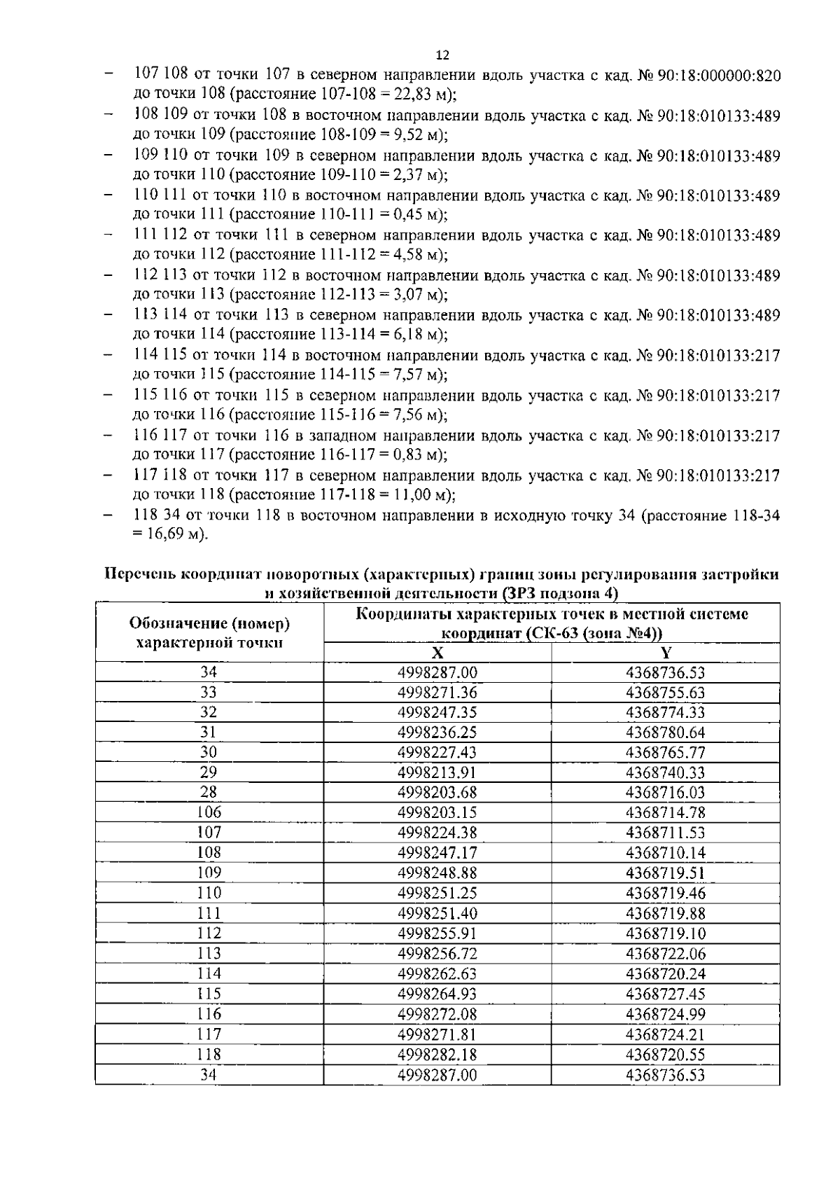
Страница №11 из 16:
Увеличить