Официальное опубликование правовых актов
ОФИЦИАЛЬНОЕ ОПУБЛИКОВАНИЕ
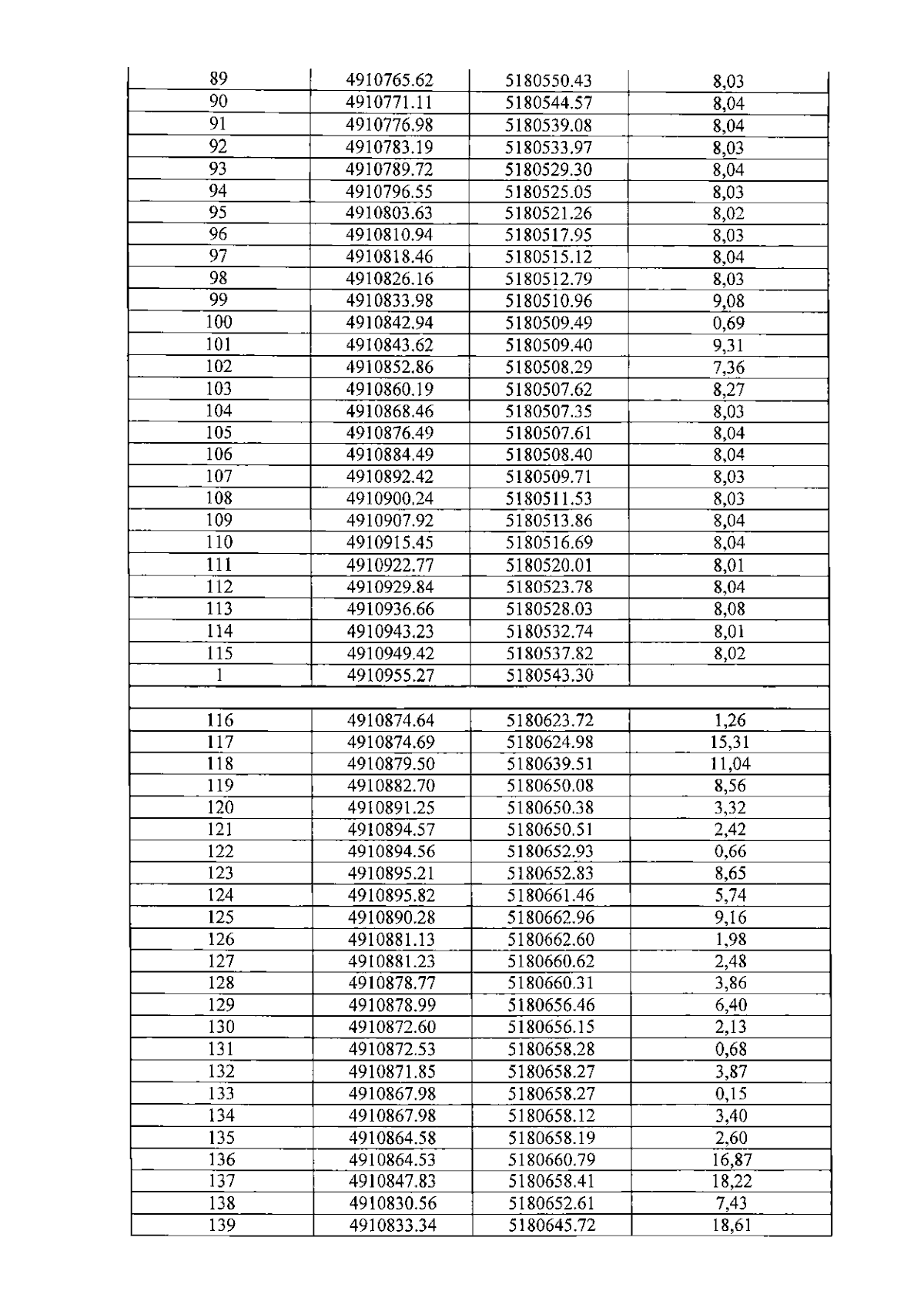
Приказ Министерства культуры Республики Крым от 04.12.2025 № 787-ОКН
"Об установлении границ защитной зоны объекта культурного наследия, режимов использования земель и требований к градостроительным регламентам в границах защитной зоны объекта культурного наследия регионального значения "Вилла "Красный мак" В.В. Пузановой (архитектор М.Ф. Пискунов)", начало XX века, расположенного по адресу: Республика Крым, городской округ Ялта, пгт Симеиз, ул. Красномаякская, 16"
(Зарегистрирован 08.12.2025 № 3038)
Номер опубликования: 9101202512090012
Дата опубликования: 09.12.2025
Страница №5 из 8:
Увеличить