Официальное опубликование правовых актов
ОФИЦИАЛЬНОЕ ОПУБЛИКОВАНИЕ
Приказ Министерства культуры Республики Крым от 04.12.2025 № 785-ОКН
"Об утверждении границ объединенной зоны охраны, режимов использования земель и требований к градостроительным регламентам в границах объединенных зон охраны объектов культурного наследия: федерального значения "Археологический комплекс "Алустон", V-IX века, IX-XIII века, XIV-XVII века, расположенного по адресу: Республика Крым, г. Алушта; регионального значения "Мечеть Юхары-Джами", середина XIX века, расположенного по адресу: Республика Крым, г. Алушта, ул. Верхняя, 5, литера "А"
(Зарегистрирован 08.12.2025 № 3036)
Номер опубликования: 9101202512090007
Дата опубликования: 09.12.2025
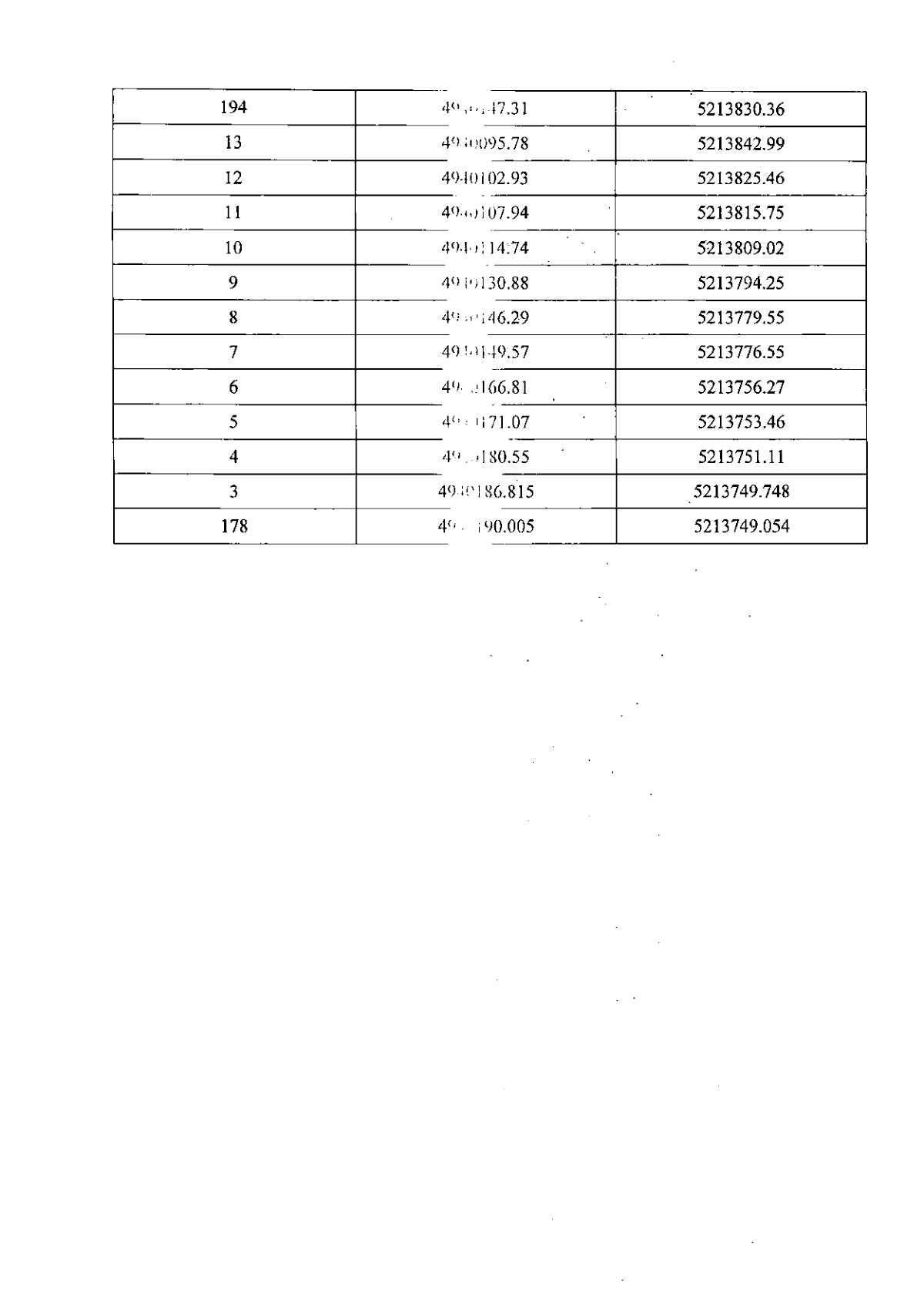
Страница №24 из 28:
Увеличить