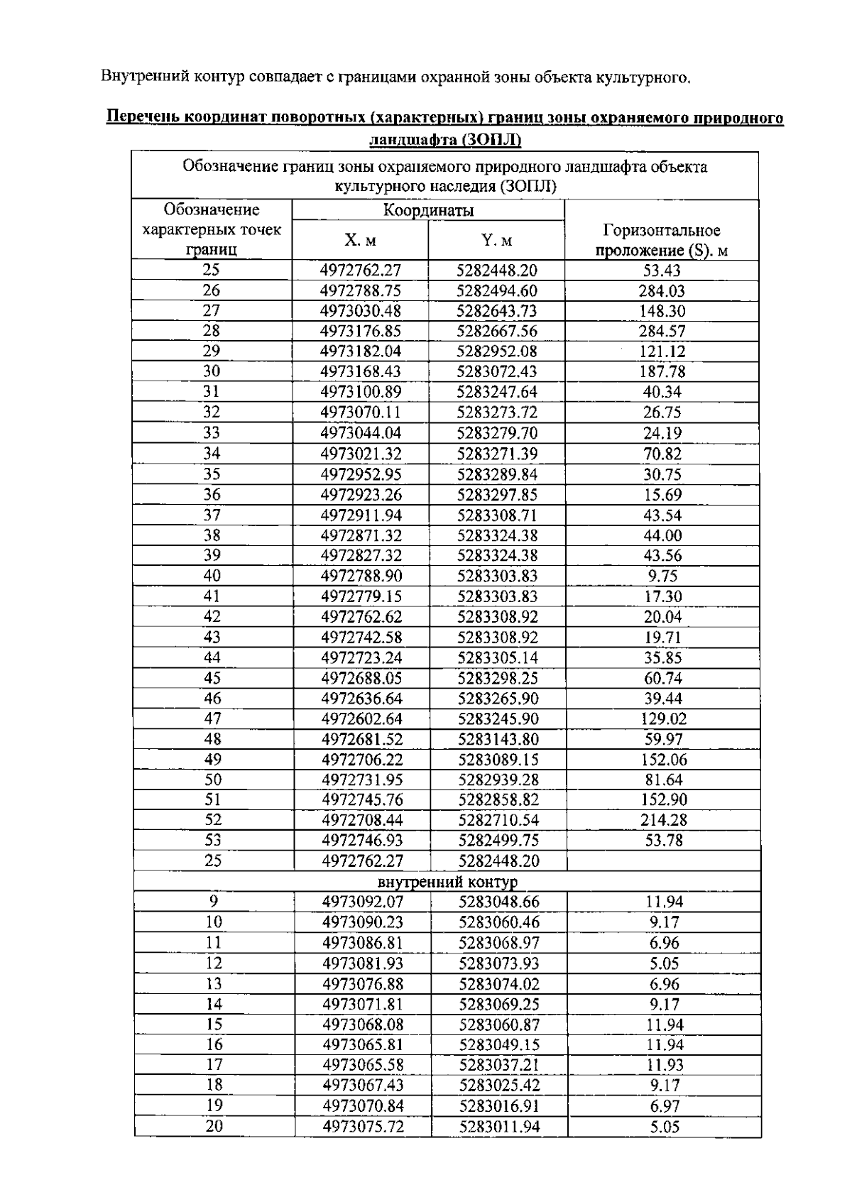
Официальное опубликование правовых актов
ОФИЦИАЛЬНОЕ ОПУБЛИКОВАНИЕ
Приказ Министерства культуры Республики Крым от 04.12.2025 № 784-ОКН
"О внесении изменений в приказ Министерства культуры Республики Крым от 26.07.2024 №353-ОКН"
(Зарегистрирован 08.12.2025 № 3035)
Номер опубликования: 9101202512090002
Дата опубликования: 09.12.2025
Страница №12 из 14:
Увеличить