Приказ Министерства культуры Республики Крым от 11.11.2025 № 707-ОКН
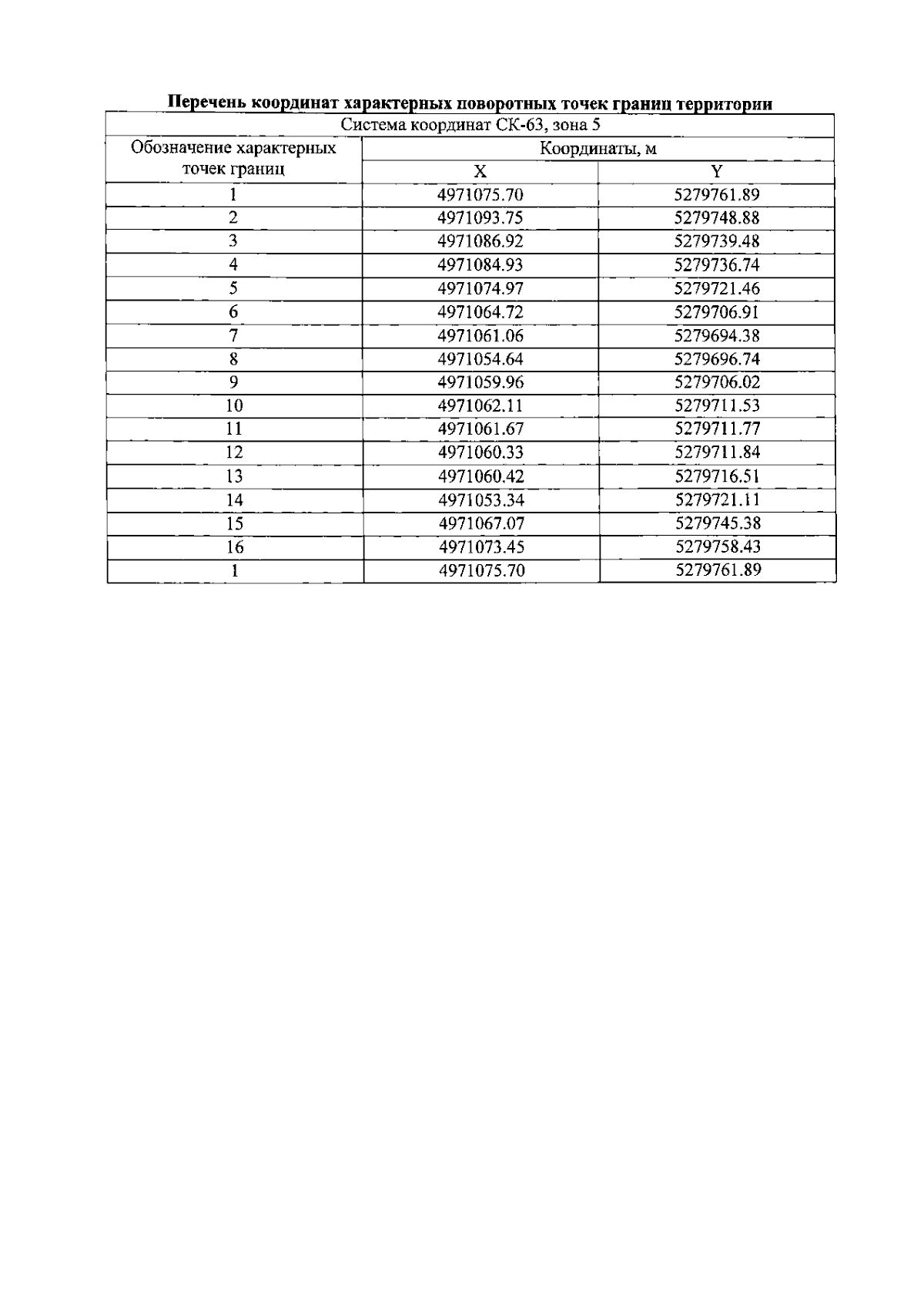
"Об утверждении границ территории, режимов использования земель в границах территории объекта культурного наследия регионального значения "Дом, в котором жил искусствовед, историк, философ А.Г. Габричевский", конец XIX века - начало XX века, расположенного по адресу: Республика Крым, городской округ Феодосия, пгт Коктебель, ул. Калинина, 22"
(Зарегистрирован 18.11.2025 № 2950)
"Об утверждении границ территории, режимов использования земель в границах территории объекта культурного наследия регионального значения "Дом, в котором жил искусствовед, историк, философ А.Г. Габричевский", конец XIX века - начало XX века, расположенного по адресу: Республика Крым, городской округ Феодосия, пгт Коктебель, ул. Калинина, 22"
(Зарегистрирован 18.11.2025 № 2950)
Номер опубликования: 9101202511200005
Дата опубликования:
20.11.2025
