Официальное опубликование правовых актов
ОФИЦИАЛЬНОЕ ОПУБЛИКОВАНИЕ
Приказ Министерства культуры Республики Крым от 27.08.2025 № 494-ОКН
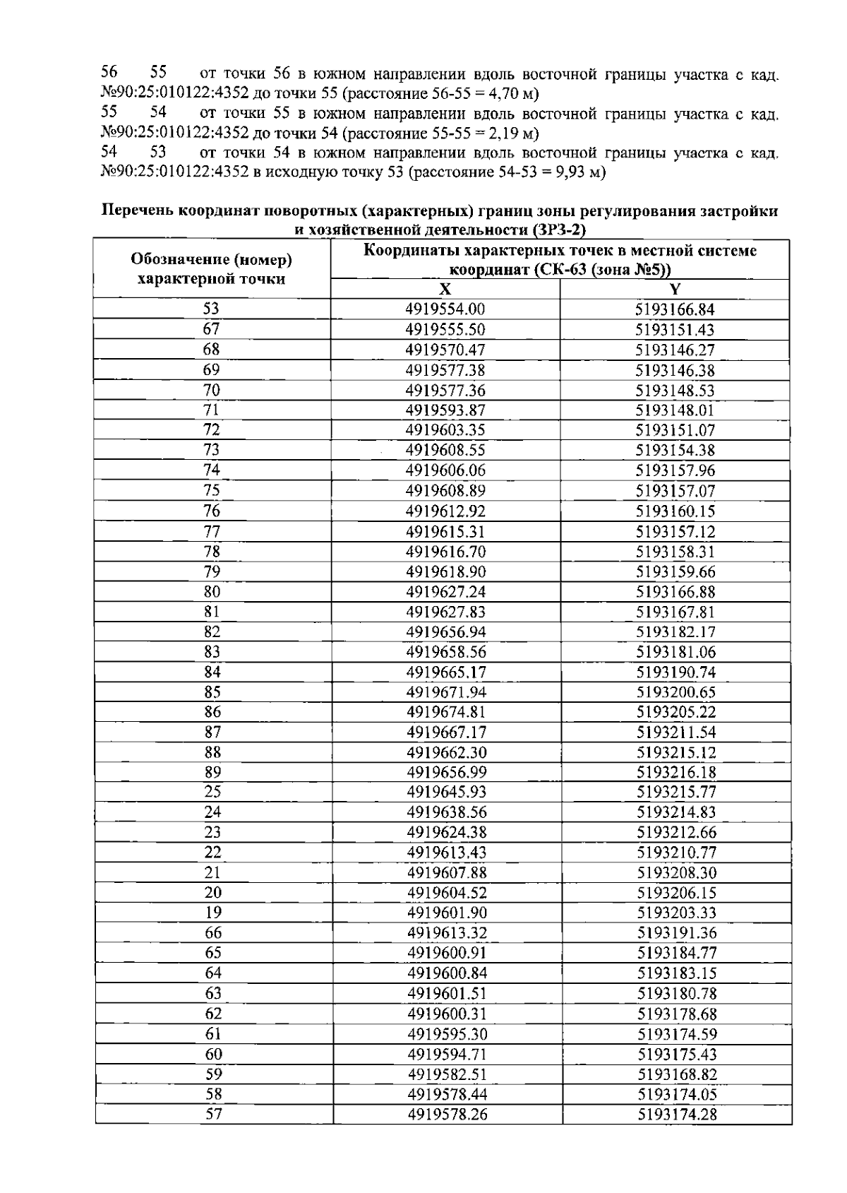
"Об утверждении границ зон охраны, режимов использования земель и требований к градостроительным регламентам в границах зон охраны объекта культурного наследия регионального значения "Церковь Воскресения Христова", конец XIX века, расположенного по адресу: Республика Крым, г. Ялта, ул. Щербака, 6, литер "А"
(Зарегистрирован 02.09.2025 № 2706)
Номер опубликования: 9101202509040001
Дата опубликования: 04.09.2025
Страница №10 из 17:
Увеличить