Официальное опубликование правовых актов
ОФИЦИАЛЬНОЕ ОПУБЛИКОВАНИЕ
Приказ Министерства культуры Республики Крым от 25.08.2025 № 487-ОКН
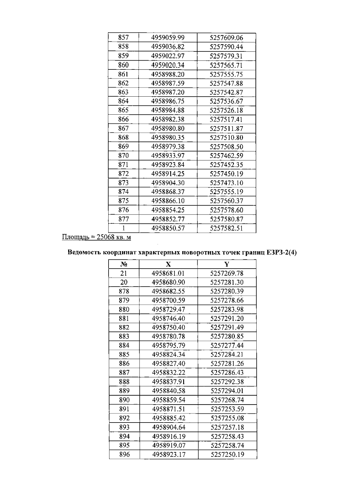
"Об утверждении границ объединенной зоны охраны, режимов использования земель и требований к градостроительным регламентам в границах объединенной зоны охраны объектов культурного наследия: федерального значения: "Комплекс сооружений Судакской крепости", XIV–XV века: "Дозорная башня", XIV – XV века; "Башня Якобо Торсело", 1385 год; "Предмостное укрепление", 1385 – 1414 годы; "Башня Бернардо Франко Пагана", 1414 год; "Башня Пасквале Джудиче", 1392 год; "Круглая башня", 1385 – 1414 годы; "Башня Коррадо Чикало", 1404 год; "Башня Лукини де Флеско Лавани", 1409 год; "Безымянная башня", XIV – XV века; "Башня Джиованни Марионе", 1387 год; "Башня Гварко Румбальдо", 1394 год, X – XV века; "Башня", 1385 – 1414 годы; "Башня Фредерико Астагвера", 1386 год; "Церковь Двенадцати апостолов", XIV век; "Угловая башня", XIV – XV века; "Консульская башня", XIV – XV века; "Георгиевская башня", XIV – XV века; "Башня", 1375 – 1414 годы; "Древний храм", XV век; "Церковь с аркадой", до 1322 года; "Подземное сооружение", XIV век; "Складское сооружение №1", 1385 – 1414 годы; "Складское сооружение №2", 1385 – 1414 годы (ансамбль), расположенного по адресу: Республика Крым, г. Судак, ул. Генуэзская крепость, д. 1; "Церковь", X век, расположенных по адресу: Республика Крым, г. Судак, ул. Приморская, д. 13; регионального значения: "Баня (руины)", XIII-XV века, расположенного по адресу: Республика Крым, г. Судак, ул. Приморская; "Кирха", XIX век, расположенного по адресу: Республика Крым, г. Судак, ул. Приморская, 13; "Фонтан", начало XIX века, расположенного по адресу: Республика Крым, г. Судак, ул. Приморская, между домами № 14-16; "Особняк", начало XX века, расположенного по адресу: Республика Крым, г. Судак, ул. Набережная, 11, литеры "А", "а-2", "а1"
(Зарегистрирован 28.08.2025 № 2692)
Номер опубликования: 9101202509020003
Дата опубликования: 02.09.2025
Страница №103 из 165:
Увеличить