Официальное опубликование правовых актов
ОФИЦИАЛЬНОЕ ОПУБЛИКОВАНИЕ
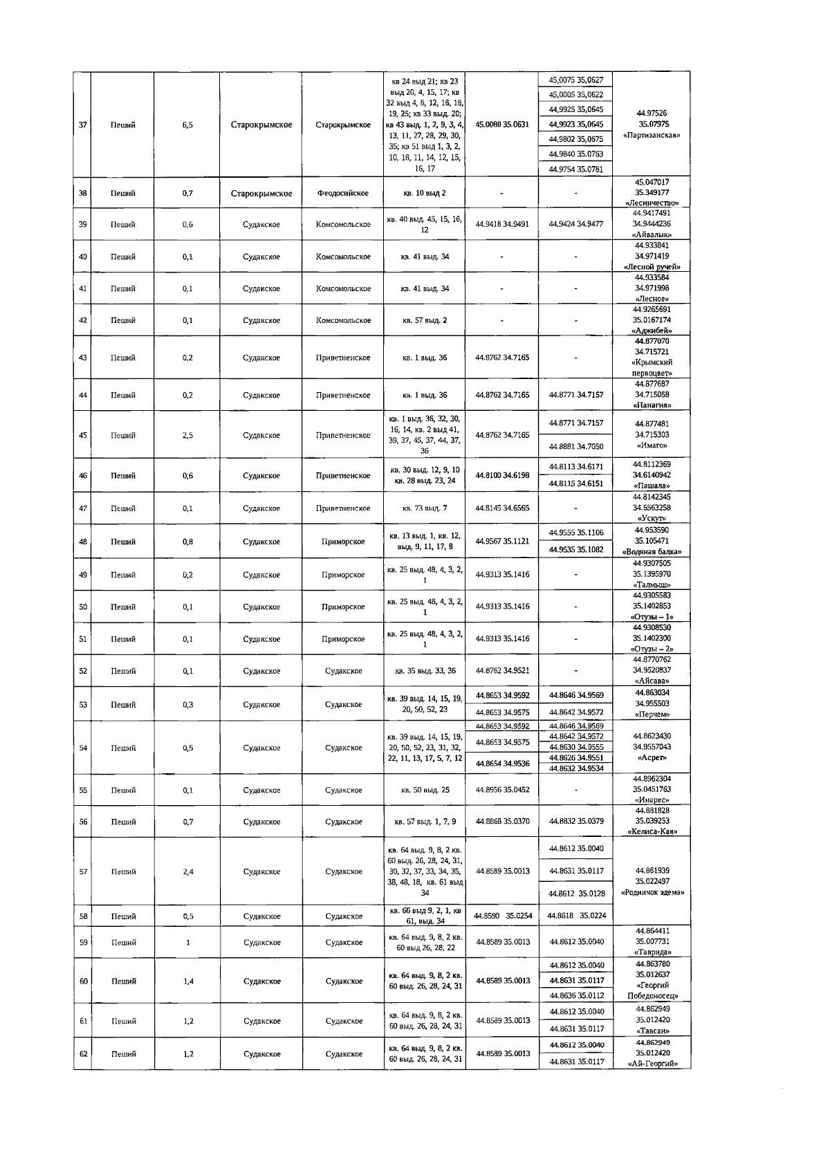
Приказ Министерства экологии и природных ресурсов Республики Крым от 29.07.2025 № 472
"Об ограничении пребывания граждан в лесах, въезда в них транспортных средств и проведения в лесах определённых видов работ в целях обеспечения пожарной безопасности"
(Зарегистрирован 01.08.2025 № 2627)
Номер опубликования: 9101202508040009
Дата опубликования: 04.08.2025
Страница №14 из 18:
Увеличить