Официальное опубликование правовых актов
ОФИЦИАЛЬНОЕ ОПУБЛИКОВАНИЕ
Приказ Министерства культуры Республики Крым от 11.07.2025 № 428-ОКН
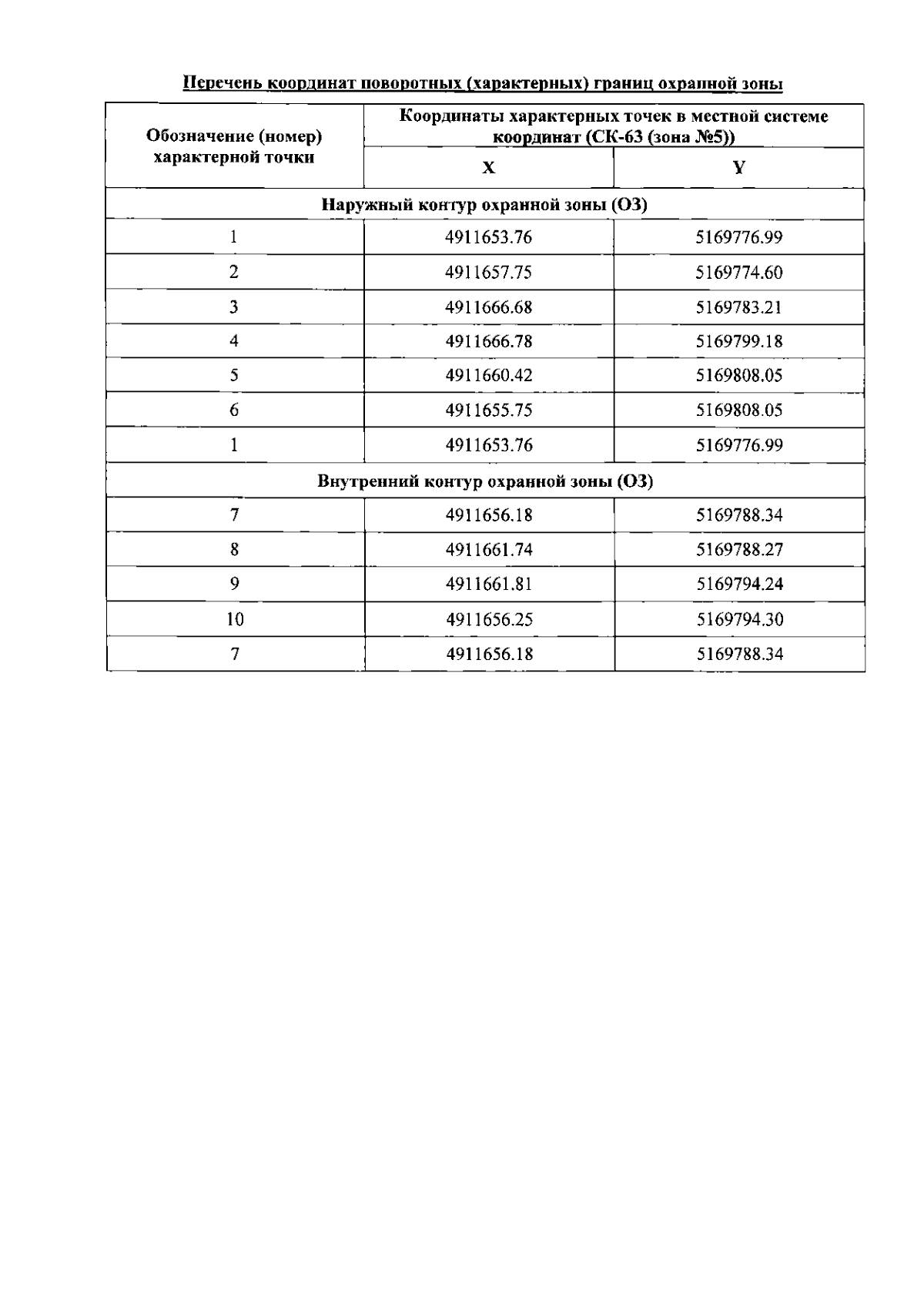
"Об утверждении границ зон охраны, режимов использования земель и требований к градостроительным регламентам в границах зон охраны объекта культурного наследия регионального значения "Остановочный павильон "Олива-1", 1960-е годы, расположенного по адресу: Республика Крым, городской округ Ялта, пос. Олива, Южнобережное шоссе"
(Зарегистрирован 17.07.2025 № 2574)
Номер опубликования: 9101202507220008
Дата опубликования: 22.07.2025
Страница №4 из 7:
Увеличить