Официальное опубликование правовых актов
ОФИЦИАЛЬНОЕ ОПУБЛИКОВАНИЕ
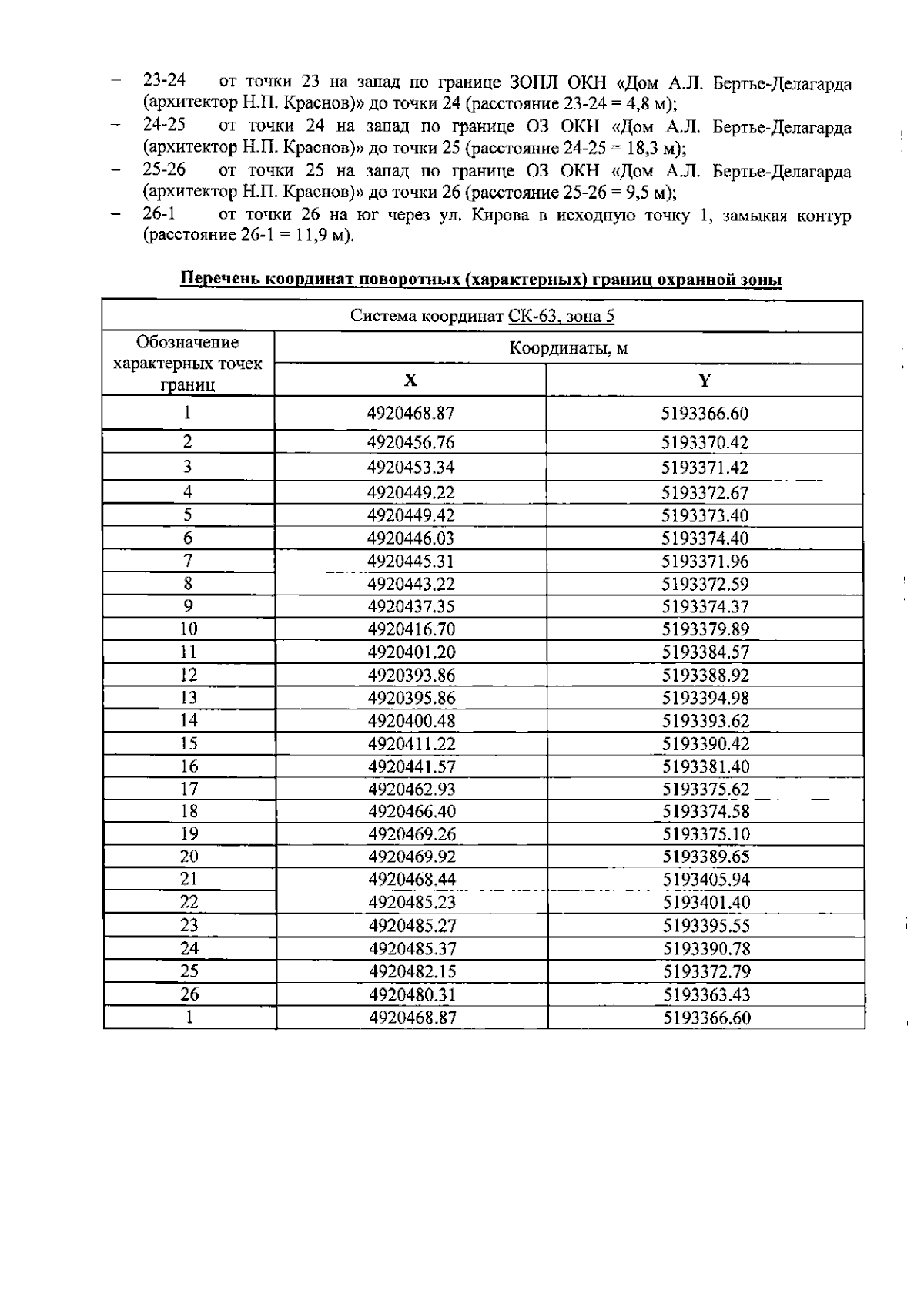
Приказ Министерства культуры Республики Крым от 04.07.2025 № 380-ОКН
"Об утверждении границ зон охраны, режимов использования земель и требований к градостроительным регламентам в границах зон охраны объекта культурного наследия регионального значения "Дом доктора И.Ф. Лебедева", конец XIX века, расположенного по адресу: Республика Крым, г. Ялта, ул. Кирова/пер. Лавровый, 28/2, литер "А"
(Зарегистрирован 08.07.2025 № 2548)
Номер опубликования: 9101202507100007
Дата опубликования: 10.07.2025
Страница №4 из 7:
Увеличить