Приказ Министерства культуры Республики Крым от 04.07.2025 № 372-ОКН
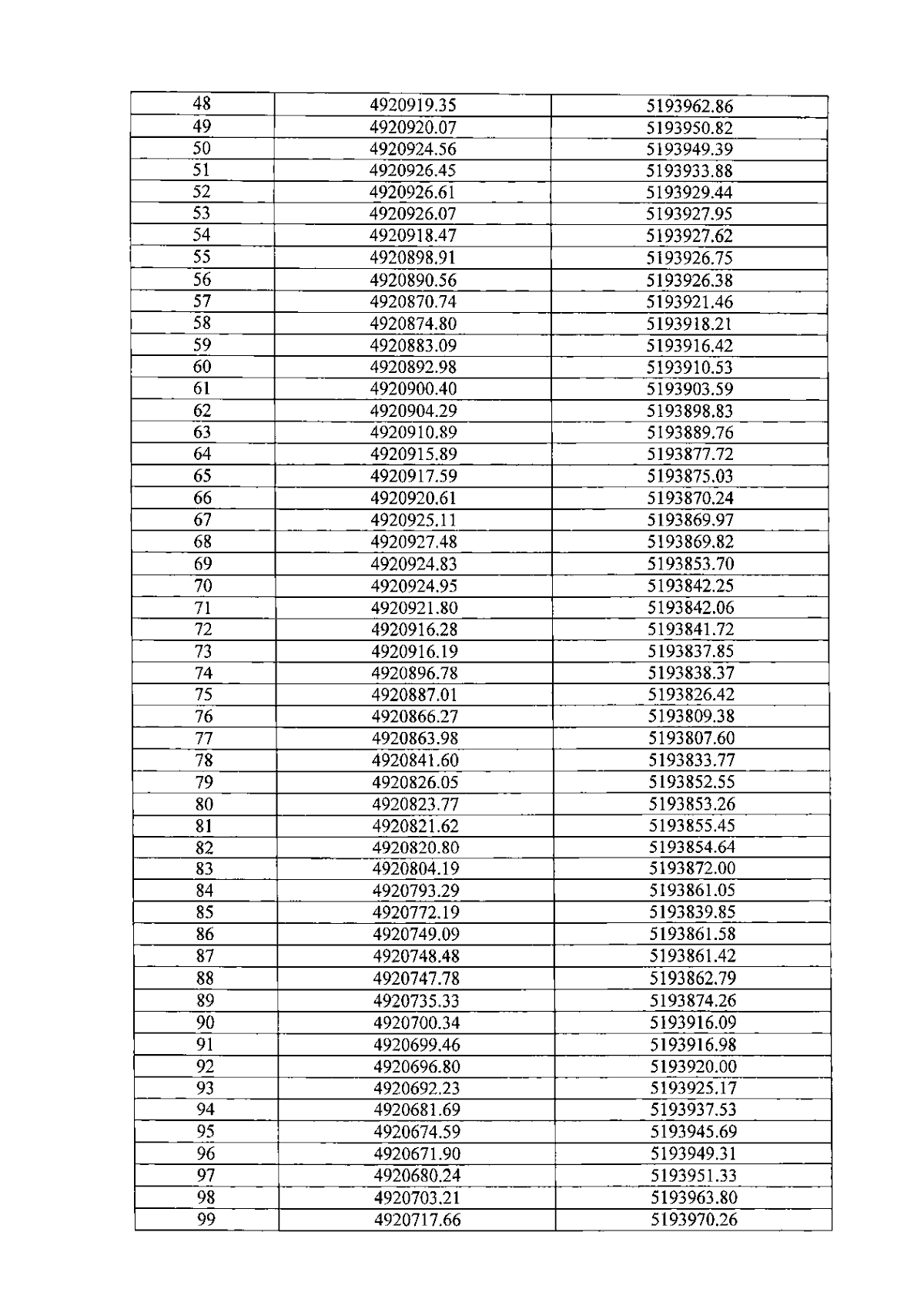
"Об утверждении границ зон охраны, режимов использования земель и требований к градостроительным регламентам в границах зон охраны объекта культурного наследия регионального значения "Дом С.А. Татариновой", конец XIX века, расположенного по адресу: Республика Крым, г. Ялта, ул. Садовая, 12/ул. Карла Маркса, 2, литер "А"
(Зарегистрирован 08.07.2025 № 2540)
"Об утверждении границ зон охраны, режимов использования земель и требований к градостроительным регламентам в границах зон охраны объекта культурного наследия регионального значения "Дом С.А. Татариновой", конец XIX века, расположенного по адресу: Республика Крым, г. Ялта, ул. Садовая, 12/ул. Карла Маркса, 2, литер "А"
(Зарегистрирован 08.07.2025 № 2540)
Номер опубликования: 9101202507100001
Дата опубликования:
10.07.2025
