Официальное опубликование правовых актов
ОФИЦИАЛЬНОЕ ОПУБЛИКОВАНИЕ
Приказ Министерства культуры Республики Крым от 18.04.2025 № 240-ОКН
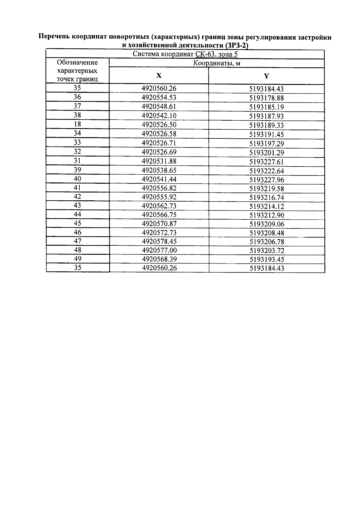
"Об утверждении границ зон охраны, режимов использования земель и требований к градостроительным регламентам в границах зон охраны объекта культурного наследия регионального значения "Дом жилой", конец XIX века - начало XX века, расположенного по адресу: Республика Крым, г. Ялта, ул. Кирова, 29, литер "А"
(Зарегистрирован 28.04.2025 № 2372)
Номер опубликования: 9101202504290004
Дата опубликования: 29.04.2025
Страница №7 из 11:
Увеличить