Приказ Министерства культуры Республики Крым от 14.04.2025 № 219-ОКН
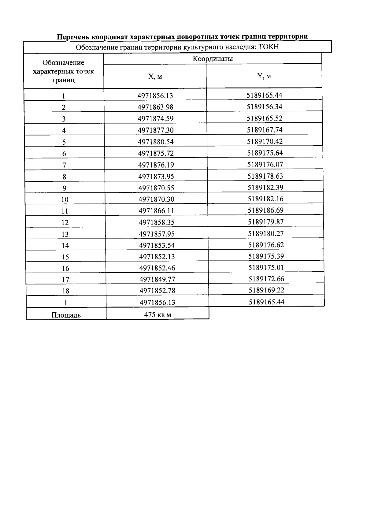
"Об утверждении границ территории, режимов использования земель в границах территории объекта культурного наследия регионального значения "Дом, в котором жил Л.Н. Толстой", начало XIX века, расположенного по адресу: Республика Крым, г. Симферополь, ул. Толстого, 4"
(Зарегистрирован 16.04.2025 № 2345)
"Об утверждении границ территории, режимов использования земель в границах территории объекта культурного наследия регионального значения "Дом, в котором жил Л.Н. Толстой", начало XIX века, расположенного по адресу: Республика Крым, г. Симферополь, ул. Толстого, 4"
(Зарегистрирован 16.04.2025 № 2345)
Номер опубликования: 9101202504220012
Дата опубликования:
22.04.2025
