Официальное опубликование правовых актов
ОФИЦИАЛЬНОЕ ОПУБЛИКОВАНИЕ
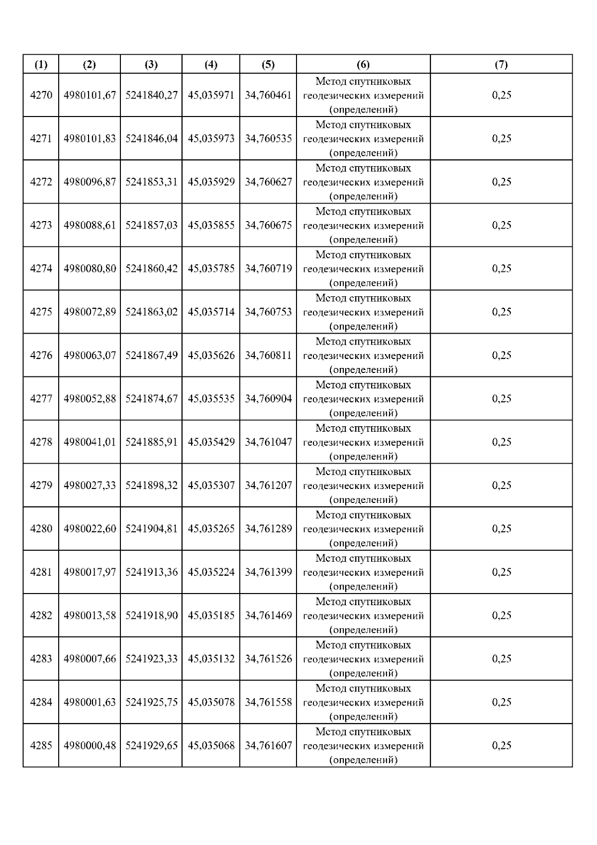
Приказ Государственного комитета по водному хозяйству и мелиорации Республики Крым от 24.02.2025 № 17
"Об уточнении местоположения береговой линии (границы водного объекта) реки Кучук-Карасу, расположенной на территории Богатовского сельского поселения Белогорского района Республики Крым"
(Зарегистрирован 04.04.2025 № 2321)
Номер опубликования: 9101202504100001
Дата опубликования: 10.04.2025
Страница №270 из 2928:
Увеличить