Приказ Министерства культуры Республики Крым от 12.03.2025 № 178-ОКН
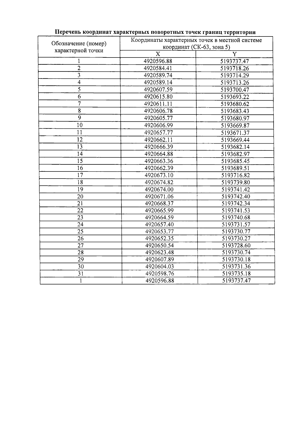
"Об утверждении границ территории, режимов использования земель в границах территории объекта культурного наследия регионального значения "Здание женской гимназии (архитекторы Н.П. Краснов, Л.Н. Шаповалов)", конец XIX века - начало XX века, расположенного по адресу: Республика Крым, г. Ялта, ул. Войкова, 4, литер "А"
(Зарегистрирован 13.03.2025 № 2286)
"Об утверждении границ территории, режимов использования земель в границах территории объекта культурного наследия регионального значения "Здание женской гимназии (архитекторы Н.П. Краснов, Л.Н. Шаповалов)", конец XIX века - начало XX века, расположенного по адресу: Республика Крым, г. Ялта, ул. Войкова, 4, литер "А"
(Зарегистрирован 13.03.2025 № 2286)
Номер опубликования: 9101202503200011
Дата опубликования:
20.03.2025
