Официальное опубликование правовых актов
ОФИЦИАЛЬНОЕ ОПУБЛИКОВАНИЕ
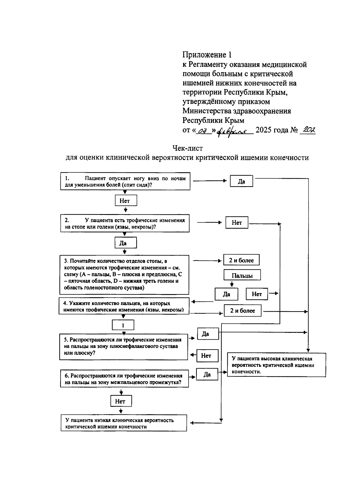
Приказ Министерства здравоохранения Республики Крым от 07.02.2025 № 202
"Об оказании медицинской помощи больным с критической ишемией конечностей в Республике Крым"
(Зарегистрирован 11.02.2025 № 2205)
Номер опубликования: 9101202502130006
Дата опубликования: 13.02.2025
Страница №7 из 17:
Увеличить