Официальное опубликование правовых актов
ОФИЦИАЛЬНОЕ ОПУБЛИКОВАНИЕ
Приказ Министерства культуры Республики Крым от 23.12.2024 № 807-ОКН
"Об утверждении границ зон охраны, режимов использования земель и требований к градостроительным регламентам в границах зон охраны объекта культурного наследия регионального значения "Дом И.П. Гофшнейдера", конец XIX века - начало XX века, расположенного по адресу: Республика Крым, г. Ялта, ул. Кирова, 26-а, литеры "А", "А1", "а2", "а3", "а4"
(Зарегистрирован 24.12.2024 № 2064)
Номер опубликования: 9101202412260018
Дата опубликования: 26.12.2024
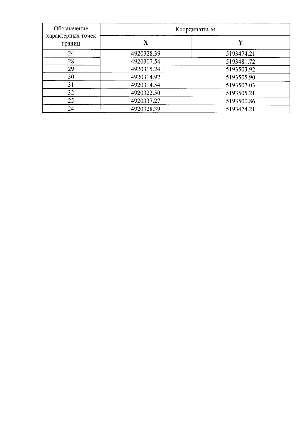
Страница №7 из 12:
Увеличить