Официальное опубликование правовых актов
ОФИЦИАЛЬНОЕ ОПУБЛИКОВАНИЕ
Приказ Министерства культуры Республики Крым от 20.12.2024 № 792-ОКН
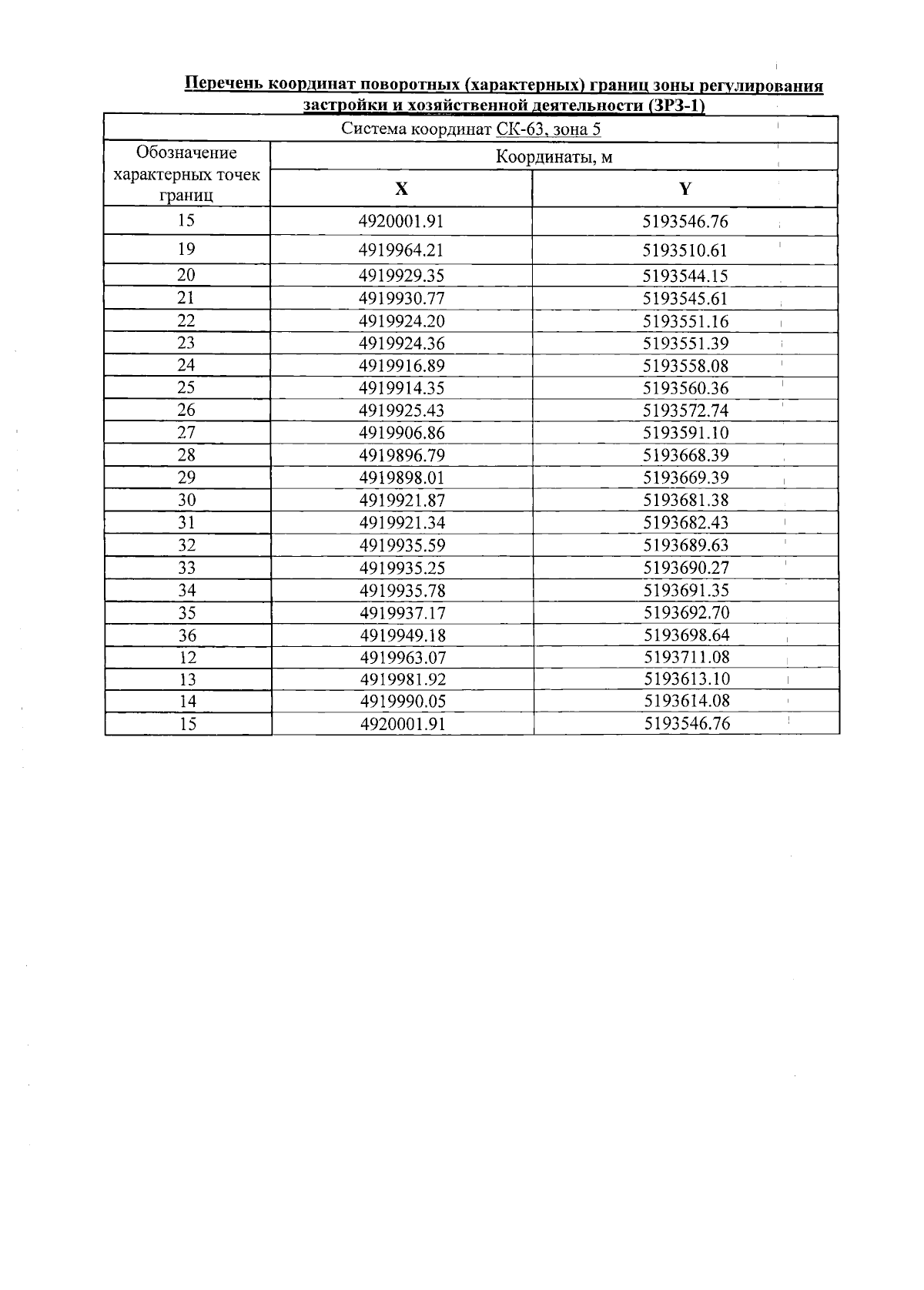
"Об утверждении границ зон охраны, режимов использования земель и требований к градостроительным регламентам в границах зон охраны объекта культурного наследия регионального значения "Ялтинский выставочный зал Союза художников", 1968 год, расположенного по адресу Республика Крым, г. Ялта, ул. Гоголя, 1, литер "А"
(Зарегистрирован 23.12.2024 № 2046)
Номер опубликования: 9101202412260011
Дата опубликования: 26.12.2024
Страница №6 из 10:
Увеличить