Официальное опубликование правовых актов
ОФИЦИАЛЬНОЕ ОПУБЛИКОВАНИЕ
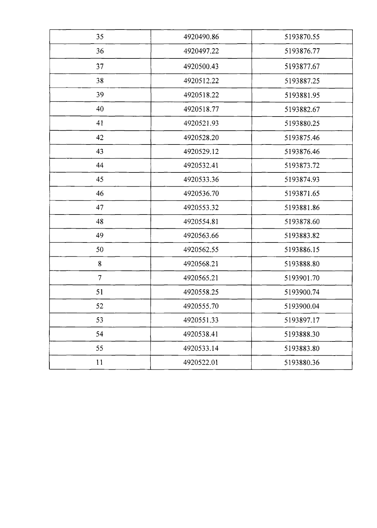
Приказ Министерства культуры Республики Крым от 23.12.2024 № 801-ОКН
"Об утверждении границ зон охраны, режимов использования земель и требований к градостроительным регламентам в границах зон охраны объекта культурного наследия регионального значения "Вилла "Елена" И.В. Тихомирова (архитектор Л.Н. Шаповалов)", начало XX века, расположенного по адресу: Республика Крым, г. Ялта, ул. Краснова, 2, литер "А"
(Зарегистрирован 24.12.2024 № 2058)
Номер опубликования: 9101202412260004
Дата опубликования: 26.12.2024
Страница №8 из 12:
Увеличить