Официальное опубликование правовых актов
ОФИЦИАЛЬНОЕ ОПУБЛИКОВАНИЕ
Приказ Министерства транспорта Республики Крым от 10.10.2024 № 301
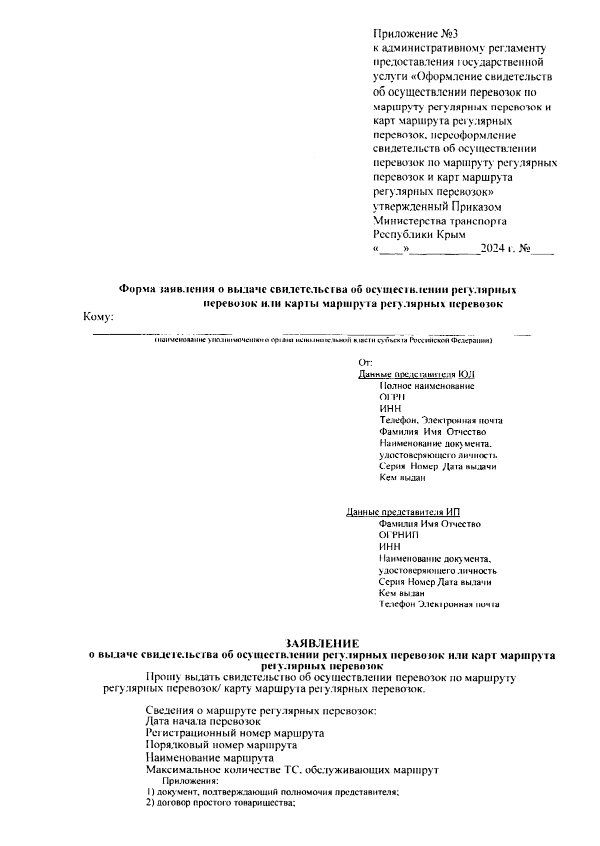
"Об утверждении административного регламента предоставления государственной услуги "Оформление свидетельств об осуществлении перевозок по маршруту регулярных перевозок и карт маршрута регулярных перевозок, переоформление свидетельств об осуществлении перевозок по маршруту регулярных перевозок и карт маршрута регулярных перевозок"
(Зарегистрирован 16.10.2024 № 1756)
Номер опубликования: 9101202410180004
Дата опубликования: 18.10.2024
Страница №33 из 39:
Увеличить