Официальное опубликование правовых актов
ОФИЦИАЛЬНОЕ ОПУБЛИКОВАНИЕ
Приказ Министерства культуры Республики Крым от 07.10.2024 № 541-ОКН
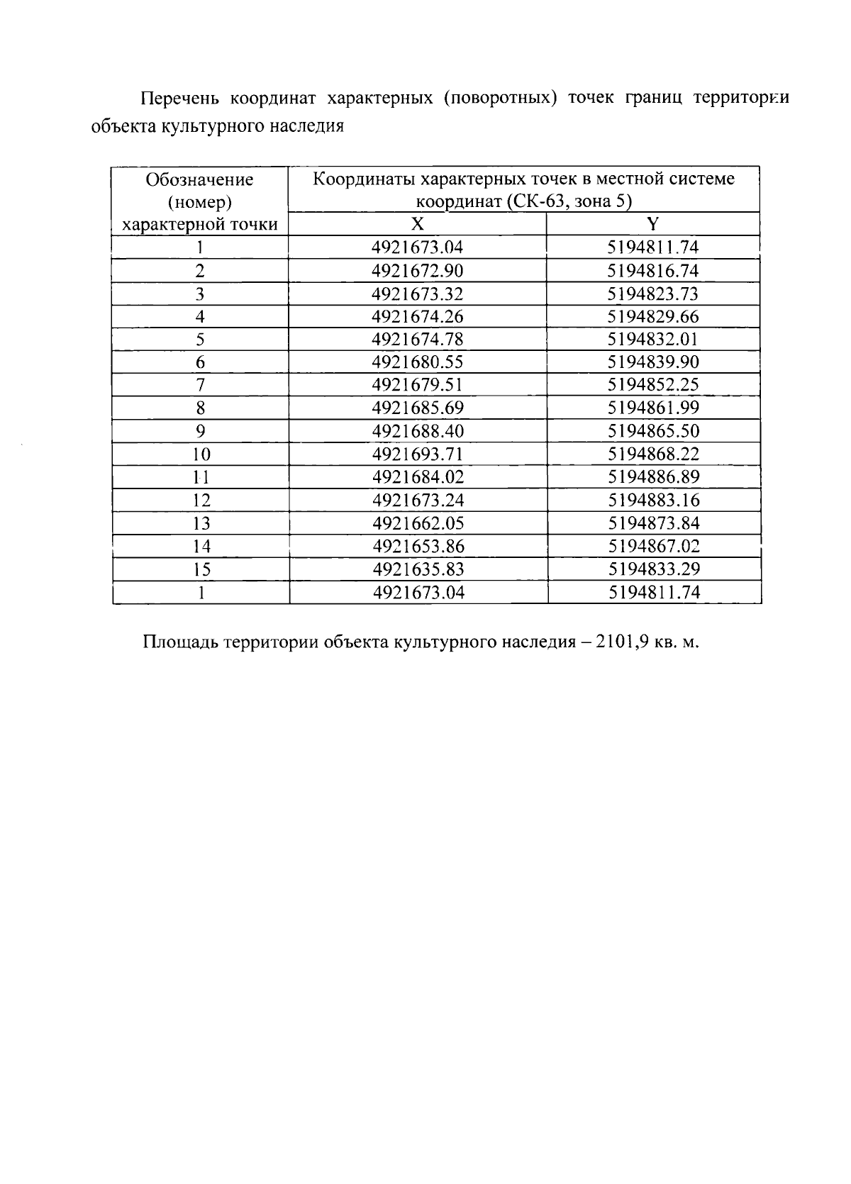
"О включении выявленного объекта культурного наследия "Летняя дача для женщин-летчиц", конец XIX века, расположенного по адресу: Республика Крым, г. Ялта, переулок Свердлова, д. 1, в единый государственный реестр объектов культурного наследия (памятников истории и культуры) народов Российской Федерации в качестве объекта культурного наследия регионального значения и утверждении границ территории, режимов использования земель в границах территории объекта культурного наследия регионального значения"
(Зарегистрирован 10.10.2024 № 1749)
Номер опубликования: 9101202410150013
Дата опубликования: 15.10.2024
Страница №5 из 8:
Увеличить