Приказ Министерства культуры Республики Крым от 04.07.2024 № 323-ОКН
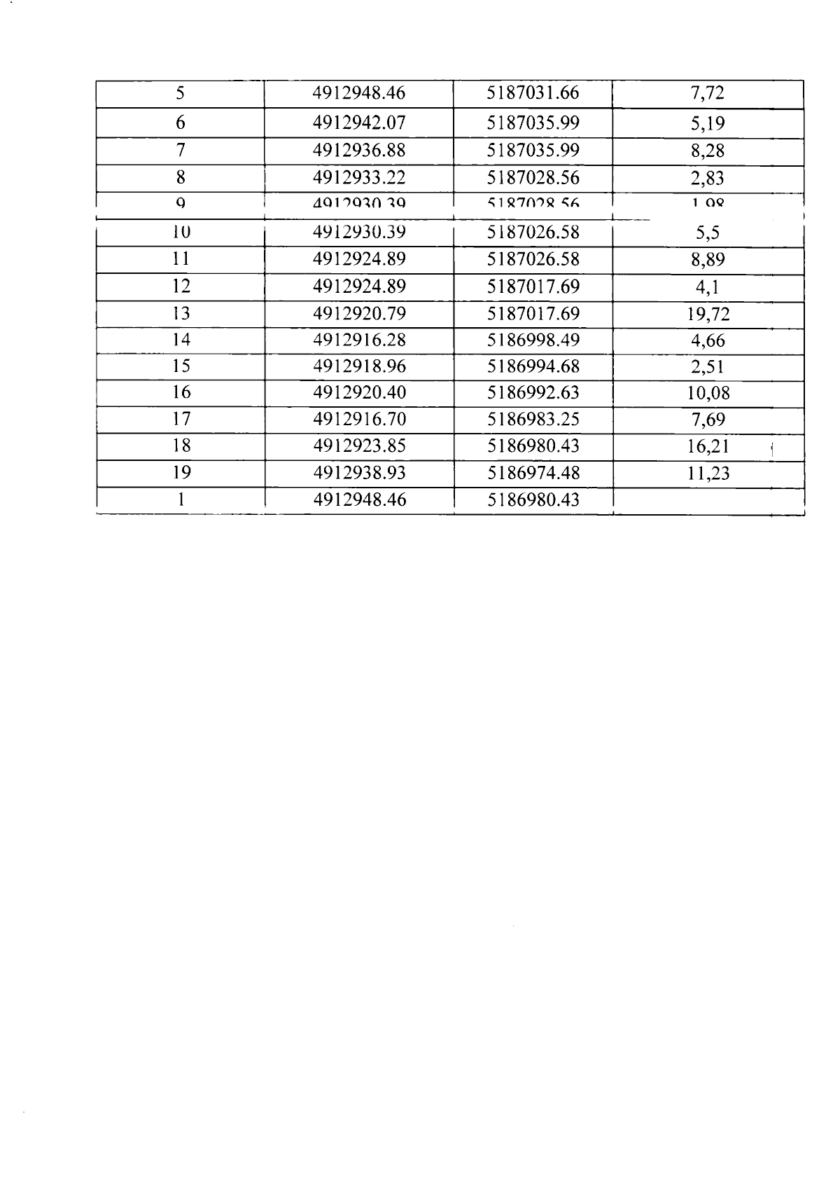
"О включении выявленного объекта культурного наследия "Дом Долгоруких-Нарышкиных", конец XIX века – начало XX века, расположенного по адресу: Республика Крым, городской округ Ялта, пгт Кореиз, ул. Алупкинское шоссе, 15-б, в единый государственный реестр объектов культурного наследия (памятников истории и культуры) народов Российской Федерации в качестве объекта культурного наследия регионального значения и утверждении границ территории, режимов использования земель в границах территории объекта культурного наследия регионального значения"
(Зарегистрирован 09.07.2024 № 1515)
"О включении выявленного объекта культурного наследия "Дом Долгоруких-Нарышкиных", конец XIX века – начало XX века, расположенного по адресу: Республика Крым, городской округ Ялта, пгт Кореиз, ул. Алупкинское шоссе, 15-б, в единый государственный реестр объектов культурного наследия (памятников истории и культуры) народов Российской Федерации в качестве объекта культурного наследия регионального значения и утверждении границ территории, режимов использования земель в границах территории объекта культурного наследия регионального значения"
(Зарегистрирован 09.07.2024 № 1515)
Номер опубликования: 9101202407120001
Дата опубликования:
12.07.2024
