Официальное опубликование правовых актов
ОФИЦИАЛЬНОЕ ОПУБЛИКОВАНИЕ
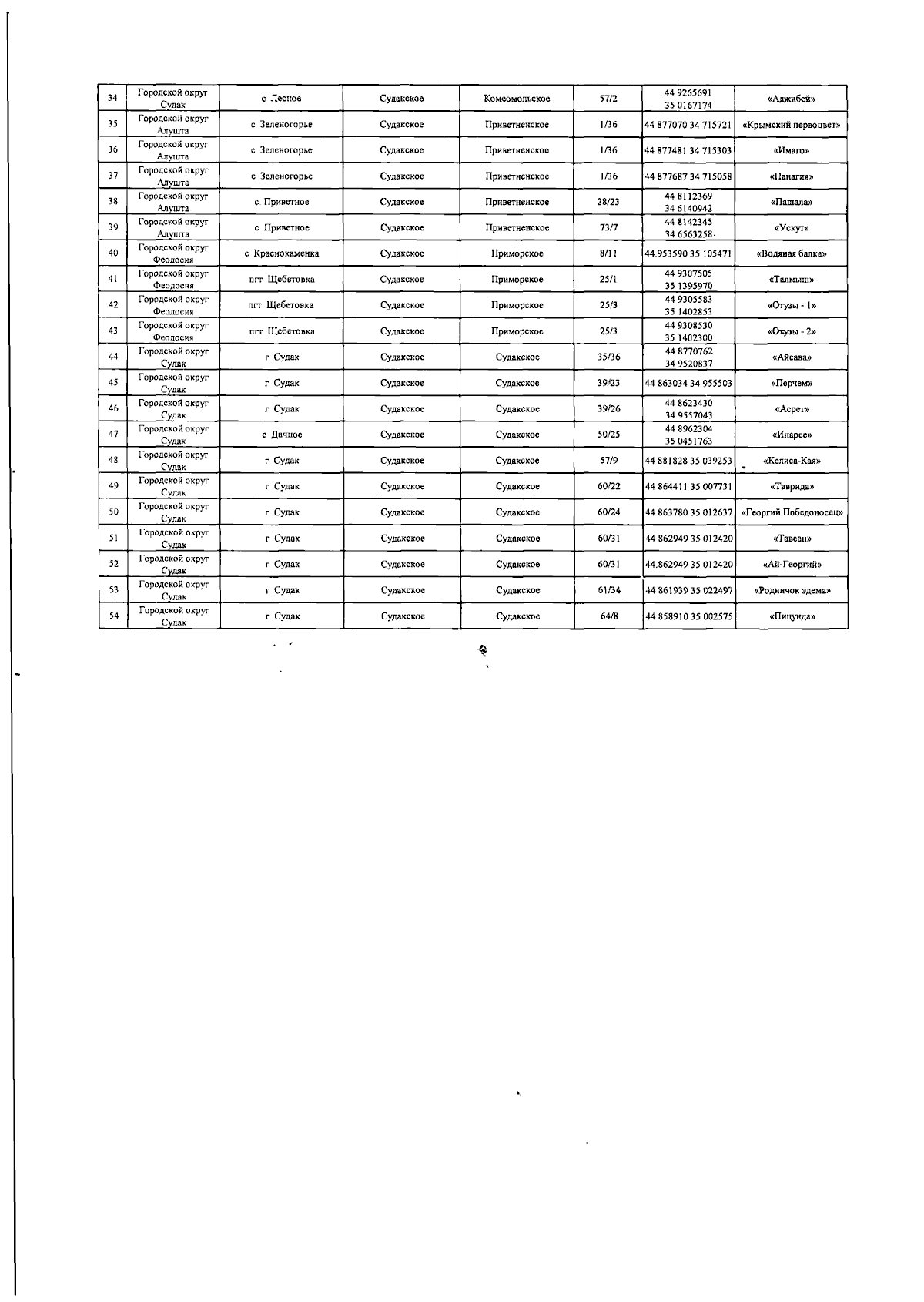
Приказ Министерства экологии и природных ресурсов Республики Крым от 14.06.2024 № 420
"Об ограничении пребывания граждан в лесах, въезда в них транспортных средств и проведения в лесах определённых видов работ в целях обеспечения пожарной безопасности"
(Зарегистрирован 19.06.2024 № 1490)
Номер опубликования: 9101202406210003
Дата опубликования: 21.06.2024
Страница №11 из 17:
Увеличить