Официальное опубликование правовых актов
ОФИЦИАЛЬНОЕ ОПУБЛИКОВАНИЕ
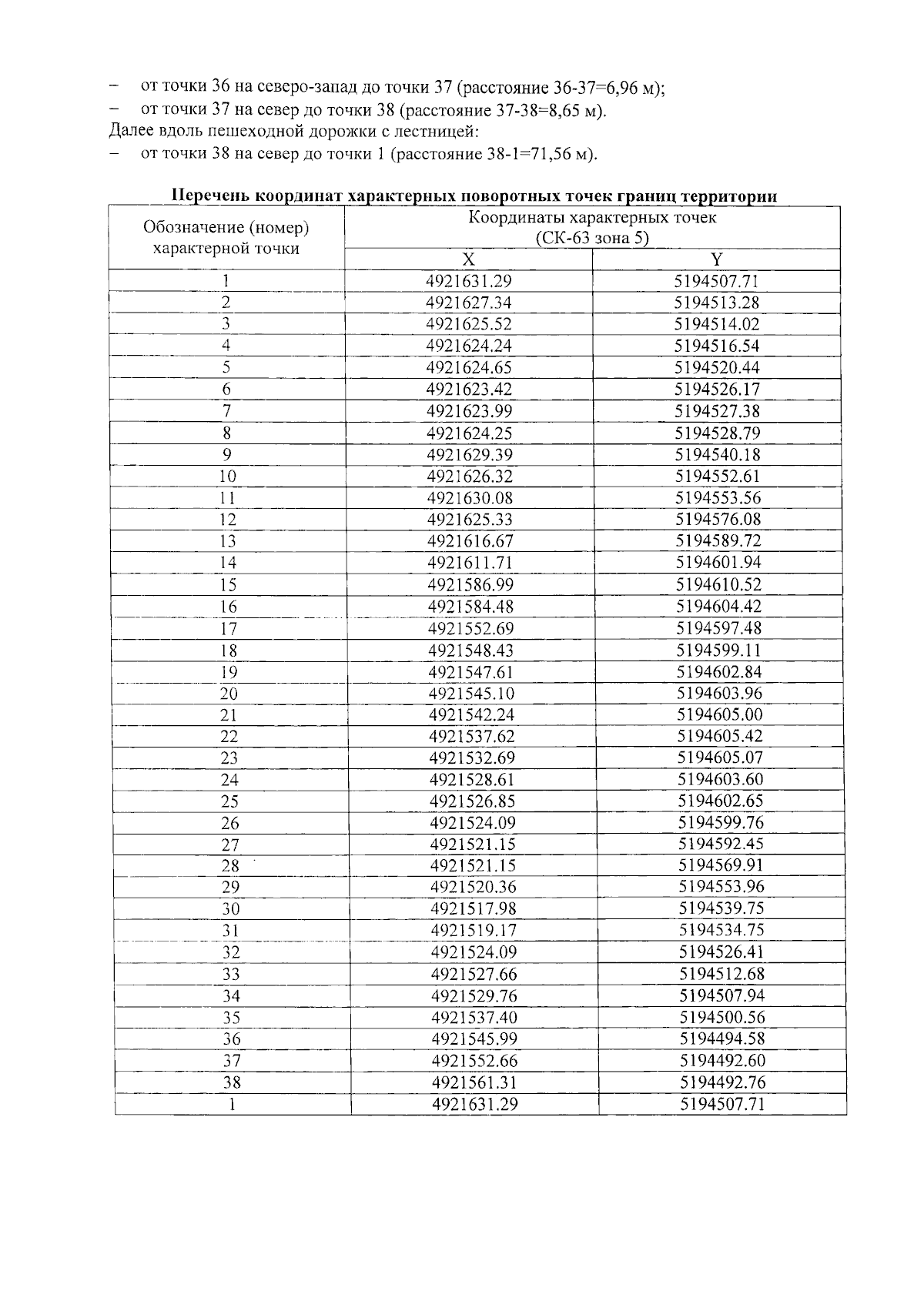
Приказ Министерства культуры Республики Крым от 24.04.2024 № 187-ОКН
"Об утверждении границ территории, режимов использования земель в границах территории объекта культурного наследия регионального значения "Дворец графов Мордвиновых (архитектор О.Э. Вегенер)", конец XIX века - начало XX века, расположенного по адресу: Республика Крым, г. Ялта, ул. Свердлова, 34-е, литер "А"
(Зарегистрирован 26.04.2024 № 1385)
Номер опубликования: 9101202405030008
Дата опубликования: 03.05.2024
Страница №4 из 6:
Увеличить