Официальное опубликование правовых актов
ОФИЦИАЛЬНОЕ ОПУБЛИКОВАНИЕ
Приказ Министерства культуры Республики Крым от 19.01.2024 № 27-ОКН
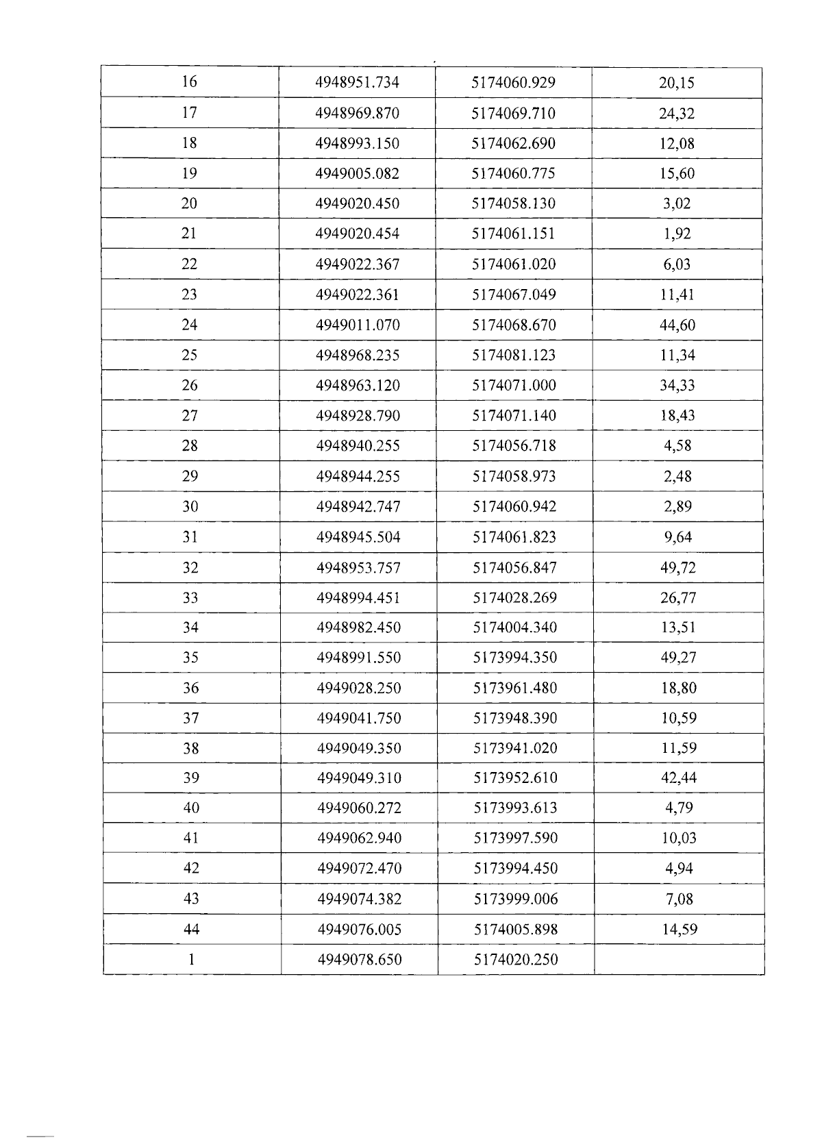
"Об утверждении границ объединенных зон охраны, режимов использования земель и требований к градостроительным регламентам в границах объединенных зон охраны объектов культурного наследия: федерального значения "Школа "Зынджырлы медресе", 1500 год", расположенного по адресу: Республика Крым, Бахчисарайский район, г. Бахчисарай, ул. Басенко, д. 57, литера "А"; "Гробница "Дюрбе Хаджи Гирея", 1501 год", расположенного по адресу: Республика Крым, Бахчисарайский район, г. Бахчисарай, ул. Басенко, д. 57, литера "О"; регионального значения "Медресе", 1909 год", расположенного по адресу: Республика Крым, г. Бахчисарай, ул. Басенко, 57, литер "Л"
(Зарегистрирован 24.01.2024 № 1185)
Номер опубликования: 9101202401260004
Дата опубликования: 26.01.2024
Страница №6 из 22:
Увеличить