Официальное опубликование правовых актов
ОФИЦИАЛЬНОЕ ОПУБЛИКОВАНИЕ
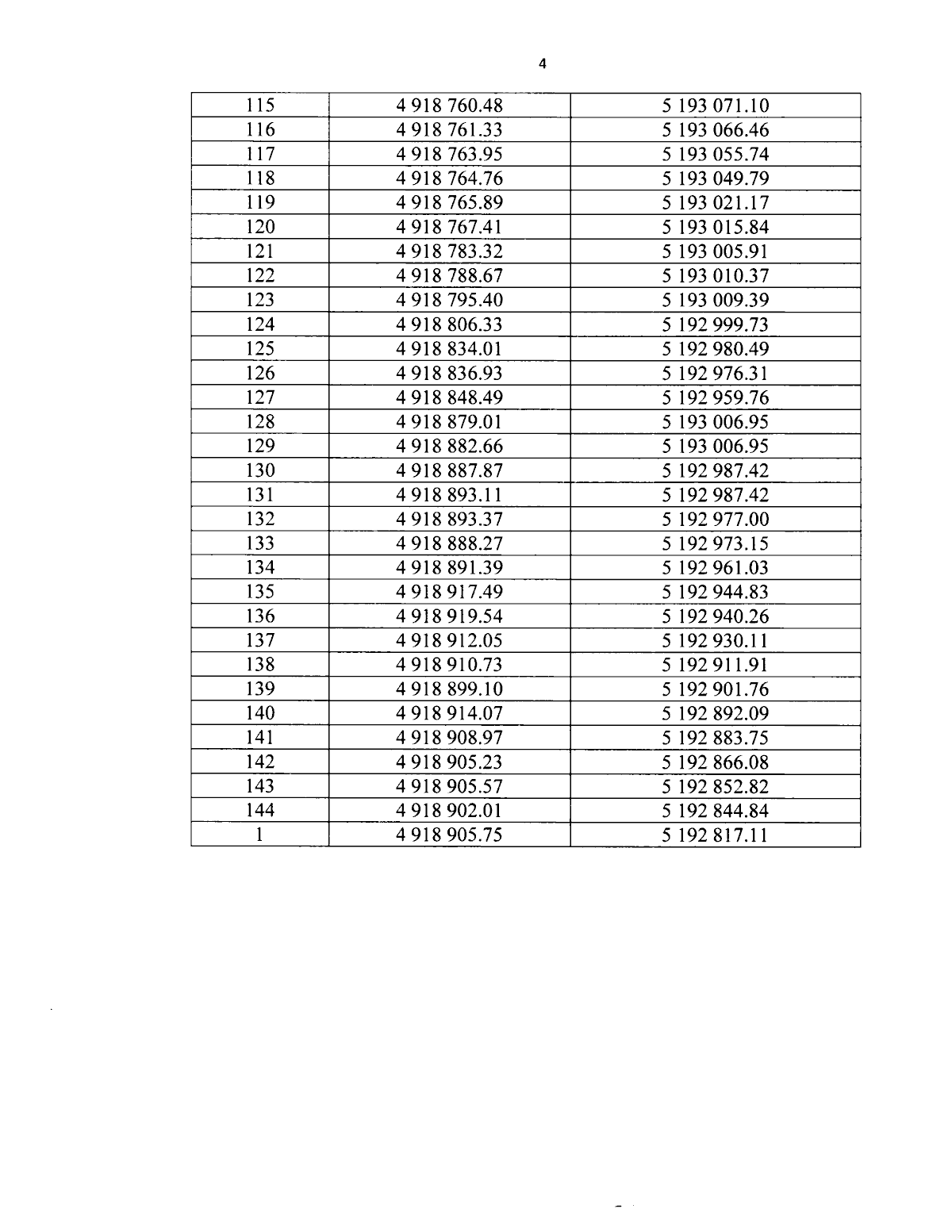
Приказ Министерства экологии и природных ресурсов Республики Крым от 26.12.2023 № 939
"О внесении изменений в приказ Министерства экологиии природных ресурсов Республики Крым от 31 октября 2016 года № 2307"
(Зарегистрирован 29.12.2023 № 1139)
Номер опубликования: 9101202401010006
Дата опубликования: 01.01.2024
Страница №7 из 7:
Увеличить