Официальное опубликование правовых актов
ОФИЦИАЛЬНОЕ ОПУБЛИКОВАНИЕ
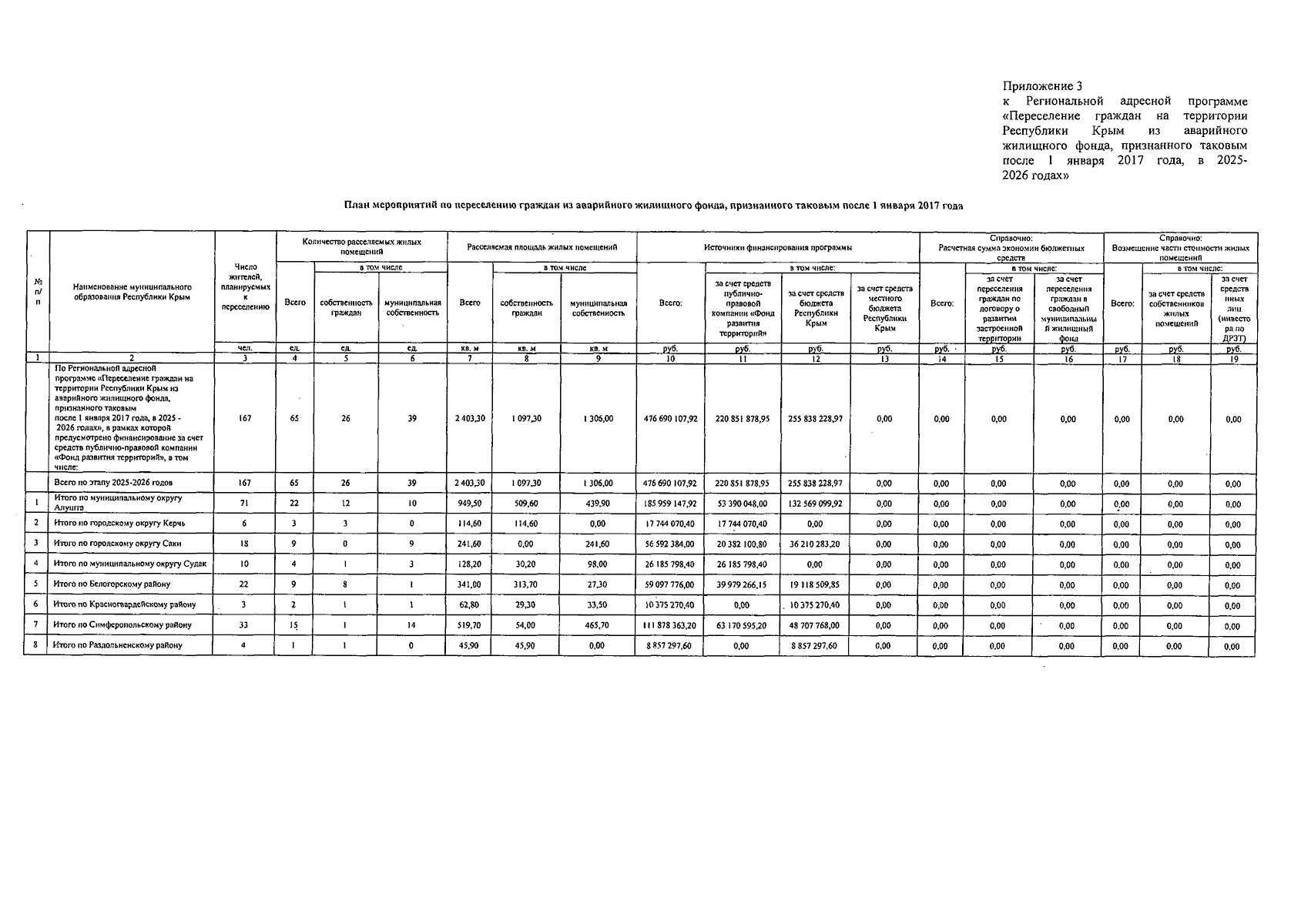
Постановление Совета министров Республики Крым от 29.01.2026 № 39
"О внесении изменений в постановление Совета министров Республики Крым от 18 сентября 2025 года № 608"
Номер опубликования: 9100202602020002
Дата опубликования: 02.02.2026
Страница №4 из 5:
Увеличить