Официальное опубликование правовых актов
ОФИЦИАЛЬНОЕ ОПУБЛИКОВАНИЕ
Постановление Совета министров Республики Крым от 29.12.2025 № 936
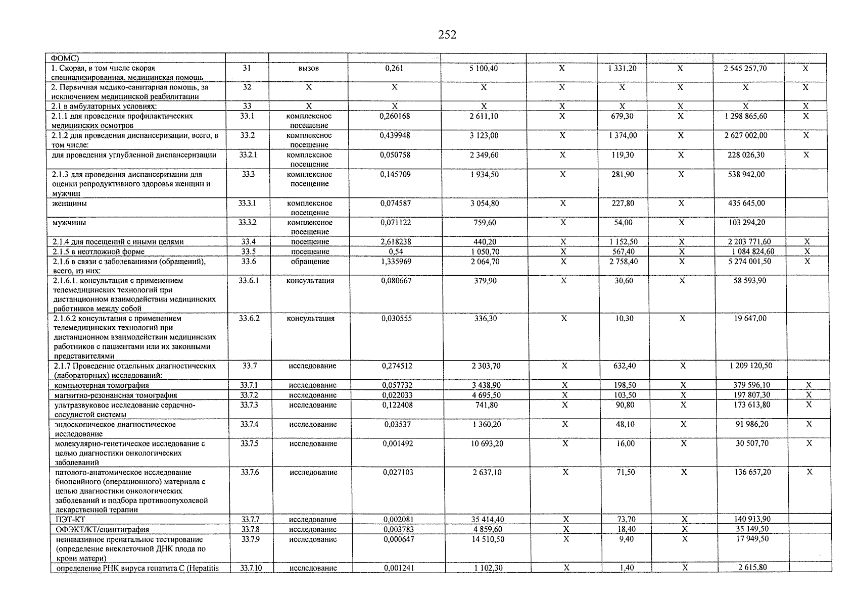
"Об утверждении Территориальной программы государственных гарантий бесплатного оказания гражданам медицинской помощи в Республике Крым на 2026 год и на плановый период 2027 и 2028 годов"
Номер опубликования: 9100202512300047
Дата опубликования: 30.12.2025
Страница №252 из 310:
Увеличить