Официальное опубликование правовых актов
ОФИЦИАЛЬНОЕ ОПУБЛИКОВАНИЕ
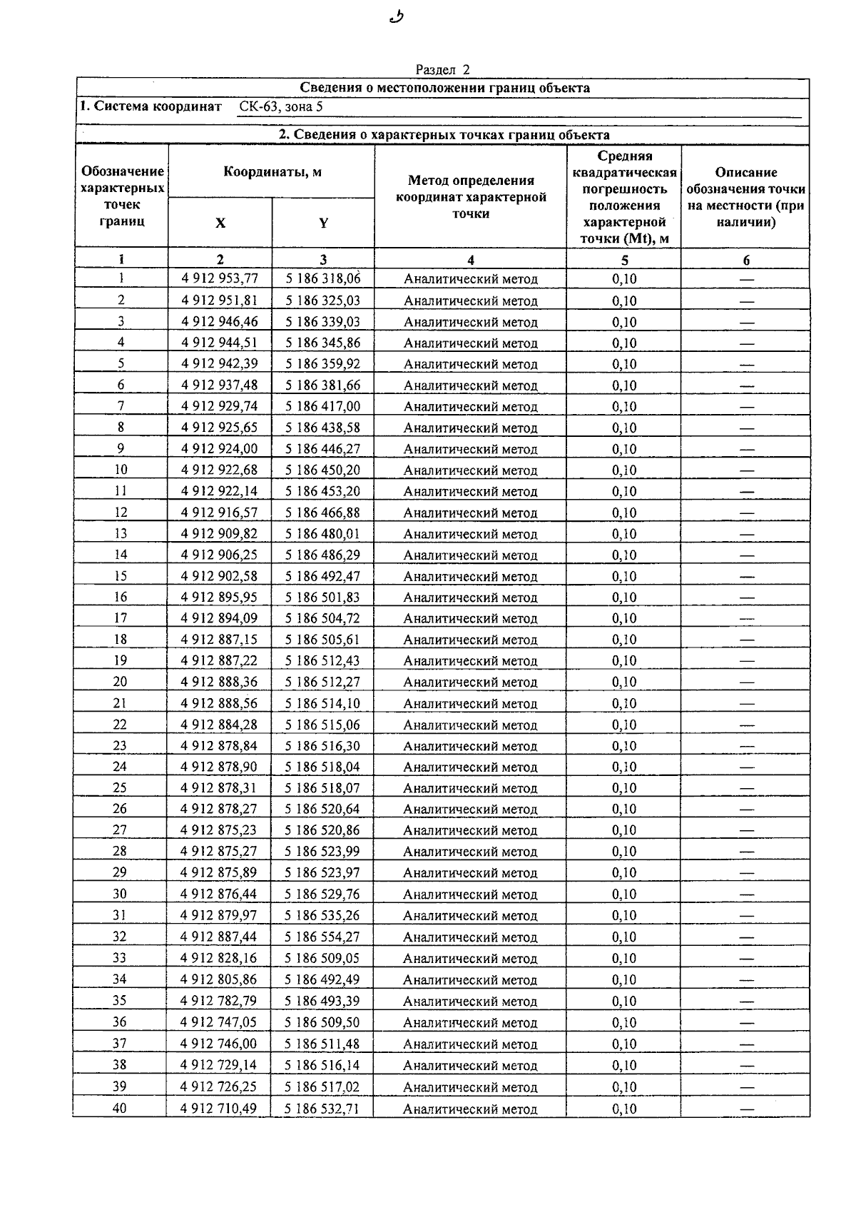
Постановление Совета министров Республики Крым от 23.12.2025 № 907
"О создании особо охраняемой природной территории регионального значения Республики Крым парка-памятника садово-паркового искусства "Парк санатория "Морской прибой"
Номер опубликования: 9100202512250005
Дата опубликования: 25.12.2025
Страница №5 из 11:
Увеличить