Официальное опубликование правовых актов
ОФИЦИАЛЬНОЕ ОПУБЛИКОВАНИЕ
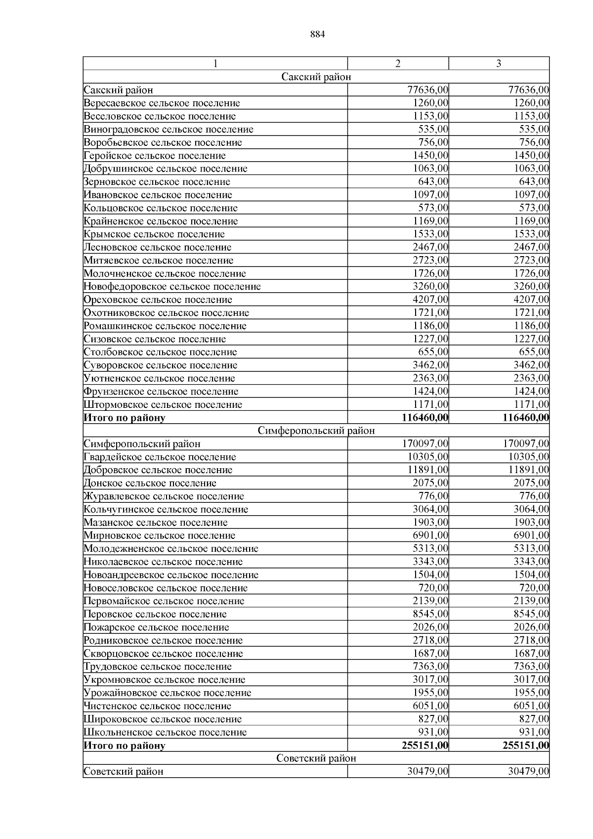
Закон Республики Крым от 28.11.2025 № 113-ЗРК/2025
"О бюджете Республики Крым на 2026 год и на плановый период 2027 и 2028 годов"
Номер опубликования: 9100202512010001
Дата опубликования: 01.12.2025
Страница №884 из 952:
Увеличить