Официальное опубликование правовых актов
ОФИЦИАЛЬНОЕ ОПУБЛИКОВАНИЕ
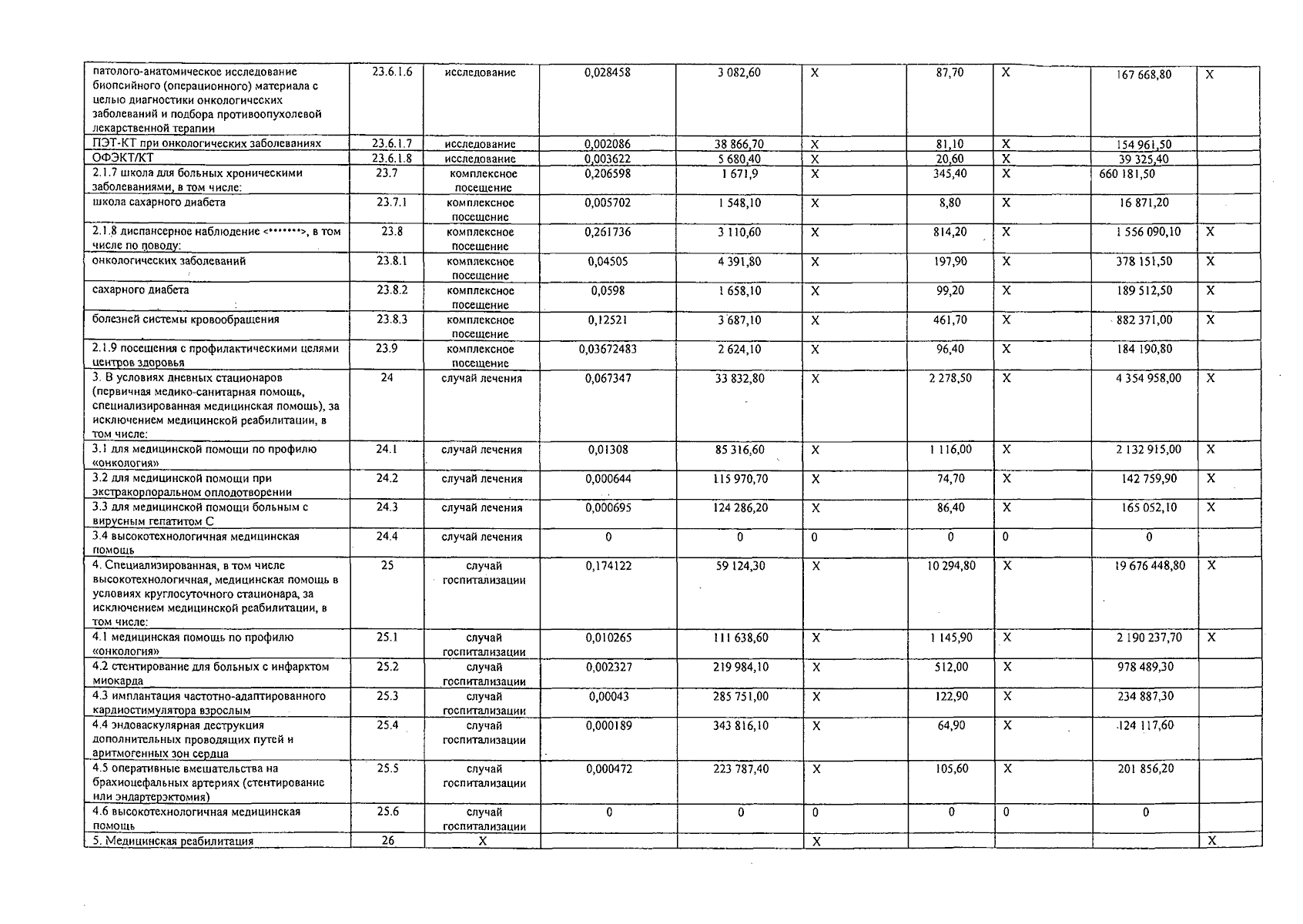
Постановление Совета министров Республики Крым от 08.10.2025 № 687
"О внесении изменений в постановление Совета министров Республики Крым от 28 декабря 2024 года № 839"
Номер опубликования: 9100202510100002
Дата опубликования: 10.10.2025
Страница №38 из 54:
Увеличить