Официальное опубликование правовых актов
ОФИЦИАЛЬНОЕ ОПУБЛИКОВАНИЕ
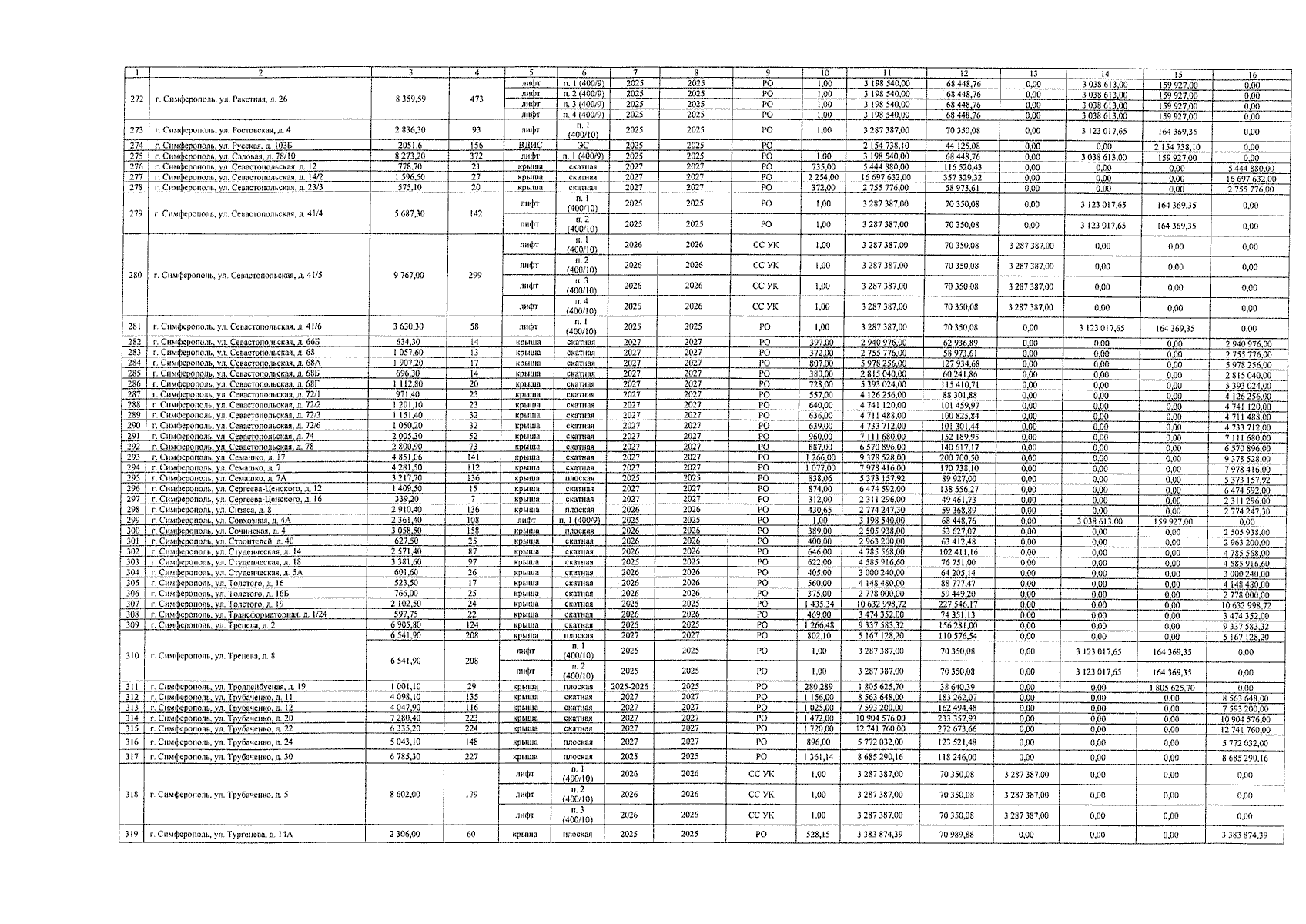
Постановление Совета министров Республики Крым от 01.10.2025 № 662
"О внесении изменений в постановление Совета министров Республики Крым от 28 июня 2024 года № 343"
Номер опубликования: 9100202510020009
Дата опубликования: 02.10.2025
Страница №18 из 47:
Увеличить