Официальное опубликование правовых актов
ОФИЦИАЛЬНОЕ ОПУБЛИКОВАНИЕ
Постановление Совета министров Республики Крым от 15.09.2025 № 599
"О внесении изменений в постановление Совета министров Республики Крым от 03 февраля 2015 года № 22"
Номер опубликования: 9100202509160029
Дата опубликования: 16.09.2025
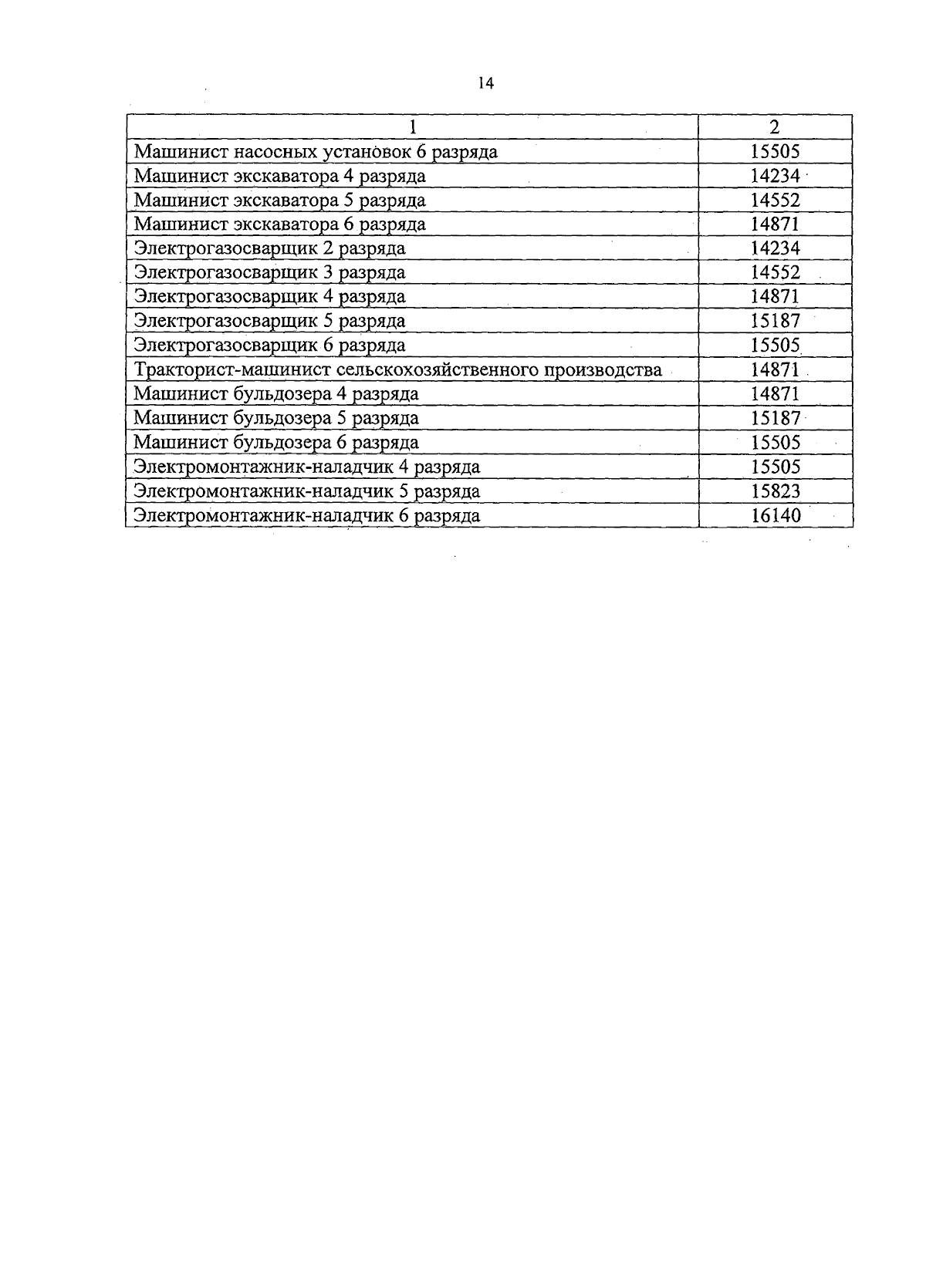
Страница №14 из 14:
Увеличить