Официальное опубликование правовых актов
ОФИЦИАЛЬНОЕ ОПУБЛИКОВАНИЕ
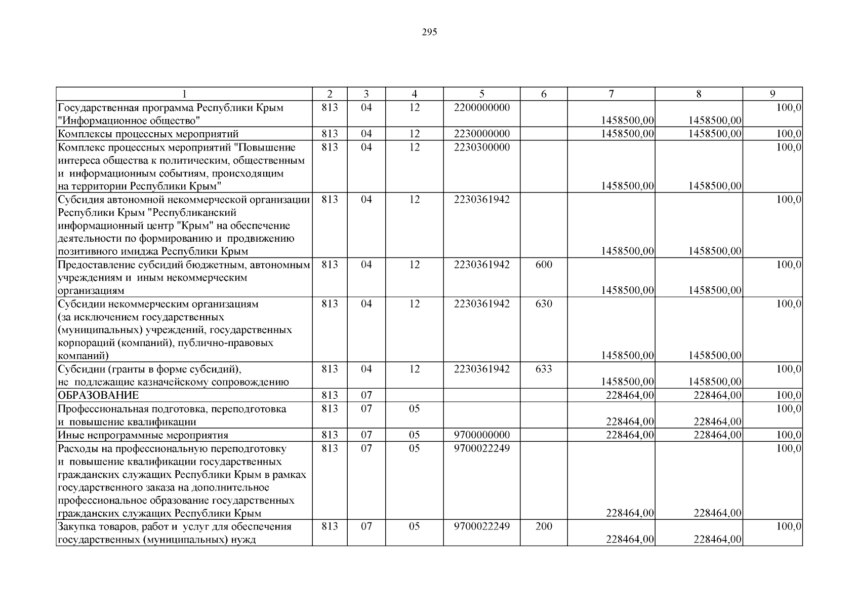
Закон Республики Крым от 02.07.2025 № 69-ЗРК/2025
"Об исполнении бюджета Республики Крым за 2024 год"
Номер опубликования: 9100202507030017
Дата опубликования: 03.07.2025
Страница №295 из 585:
Увеличить