Официальное опубликование правовых актов
ОФИЦИАЛЬНОЕ ОПУБЛИКОВАНИЕ
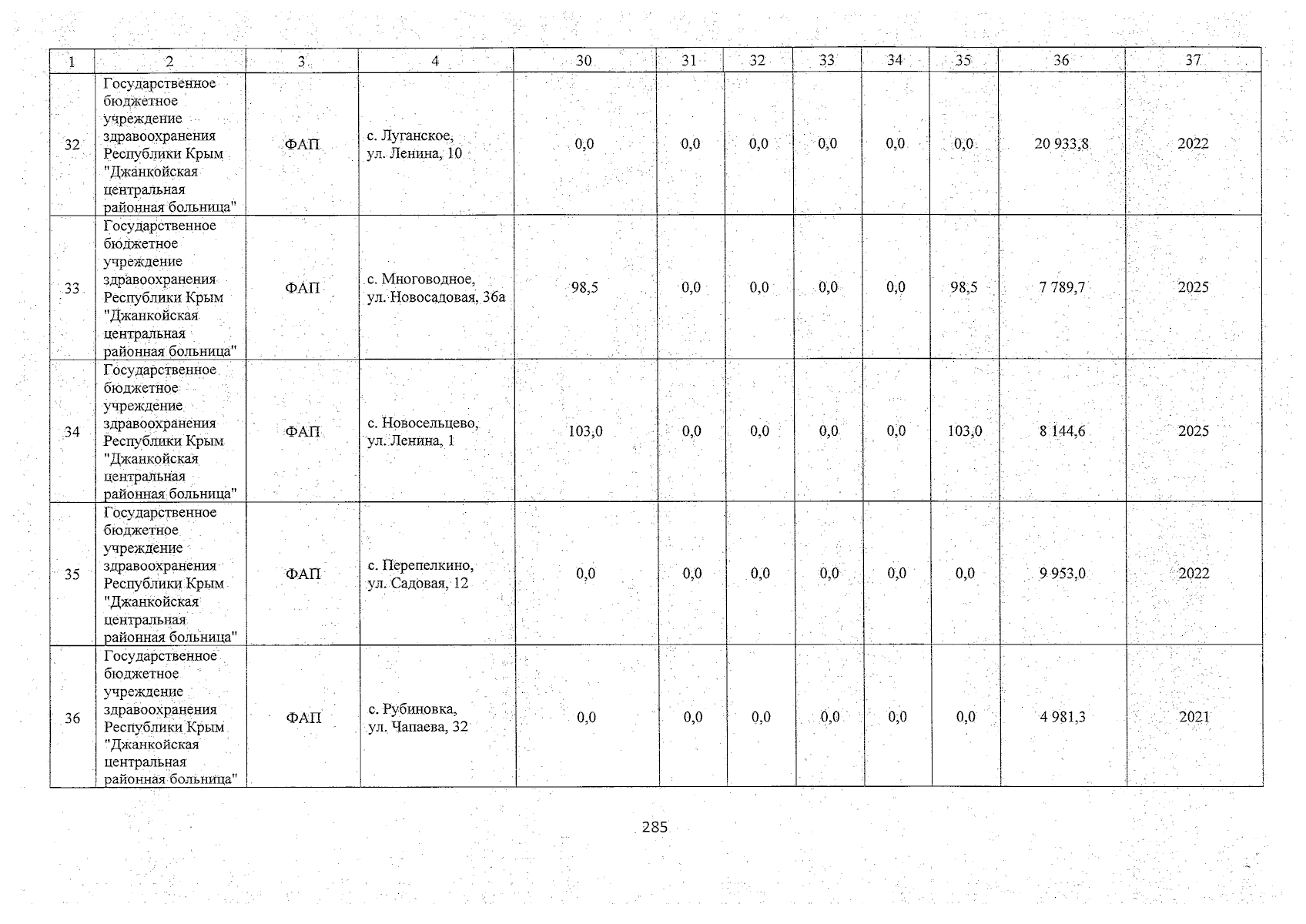
Постановление Совета министров Республики Крым от 30.04.2025 № 262
"О внесении изменений в постановление Совета министров Республики Крым от 15 декабря 2020 года № 791"
Номер опубликования: 9100202505060001
Дата опубликования: 06.05.2025
Страница №285 из 328:
Увеличить