Официальное опубликование правовых актов
ОФИЦИАЛЬНОЕ ОПУБЛИКОВАНИЕ
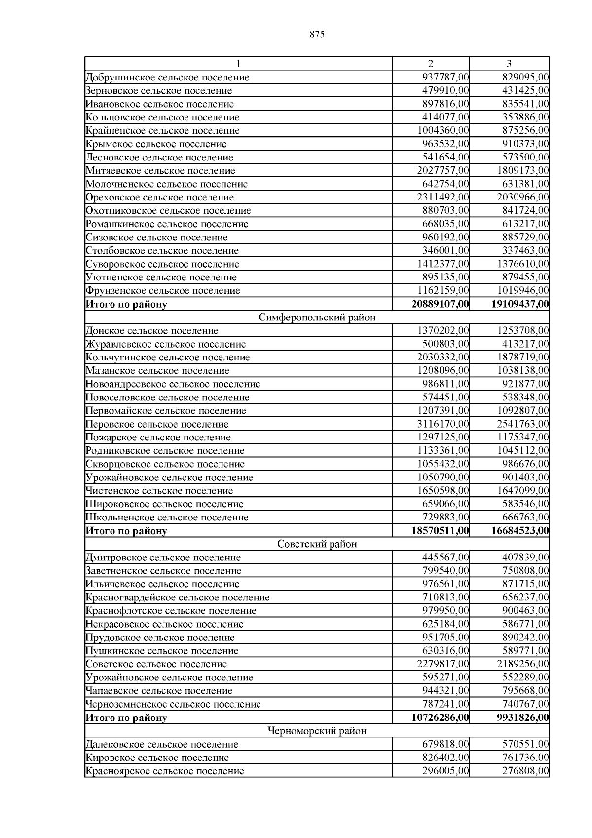
Закон Республики Крым от 29.11.2024 № 14-ЗРК/2024
"О бюджете Республики Крым на 2025 год и на плановый период 2026 и 2027 годов"
Номер опубликования: 9100202412030018
Дата опубликования: 03.12.2024
Страница №875 из 996:
Увеличить