Официальное опубликование правовых актов
ОФИЦИАЛЬНОЕ ОПУБЛИКОВАНИЕ
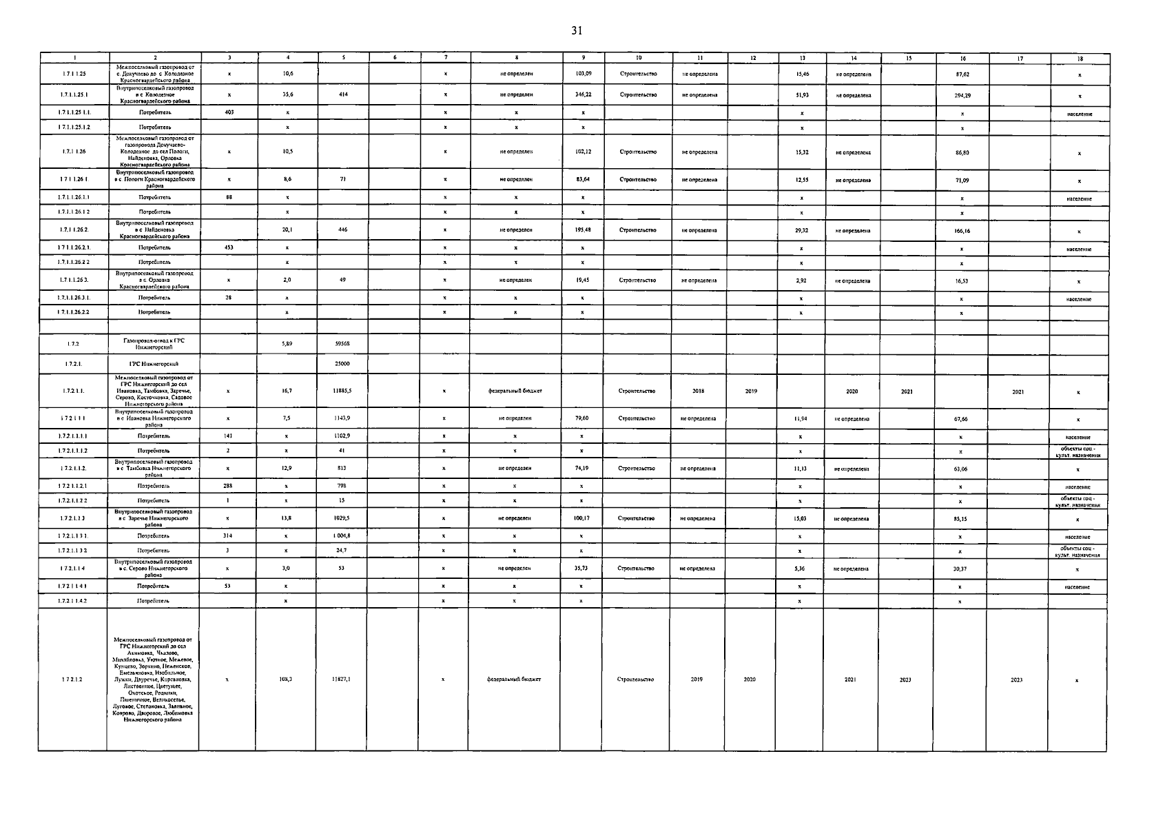
Постановление Совета министров Республики Крым от 29.07.2024 № 421
"О внесении изменений в постановление Совета министров Республики Крым от 25 декабря 2023 года № 953"
Номер опубликования: 9100202407310006
Дата опубликования: 31.07.2024
Страница №31 из 1352:
Увеличить