Официальное опубликование правовых актов
ОФИЦИАЛЬНОЕ ОПУБЛИКОВАНИЕ
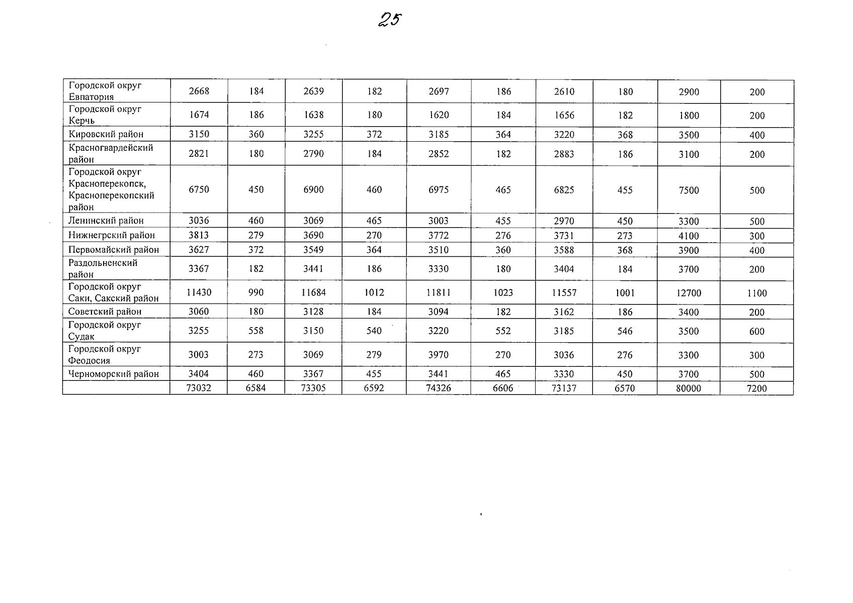
Постановление Совета министров Республики Крым от 15.02.2024 № 86
"Об утверждении региональной программы Республики Крым "Борьба с сахарным диабетом"
Номер опубликования: 9100202402190004
Дата опубликования: 19.02.2024
Страница №25 из 79:
Увеличить