Официальное опубликование правовых актов
ОФИЦИАЛЬНОЕ ОПУБЛИКОВАНИЕ
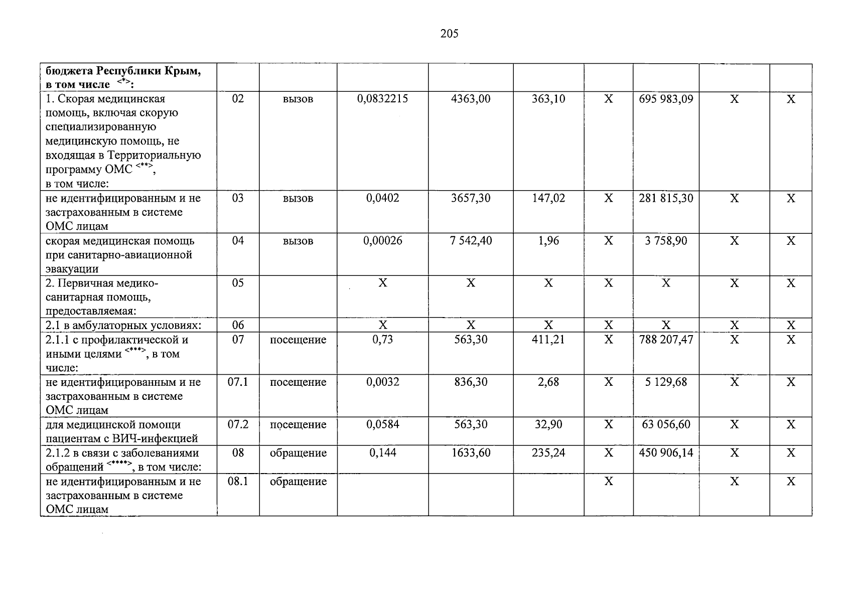
Постановление Совета министров Республики Крым от 29.12.2023 № 994
"Об утверждении Территориальной программы государственных гарантий бесплатного оказания гражданам медицинской помощи в Республике Крым на 2024 год и на плановый период 2025 и 2026 годов"
Номер опубликования: 9100202401050020
Дата опубликования: 05.01.2024
Страница №205 из 290:
Увеличить