Официальное опубликование правовых актов
ОФИЦИАЛЬНОЕ ОПУБЛИКОВАНИЕ
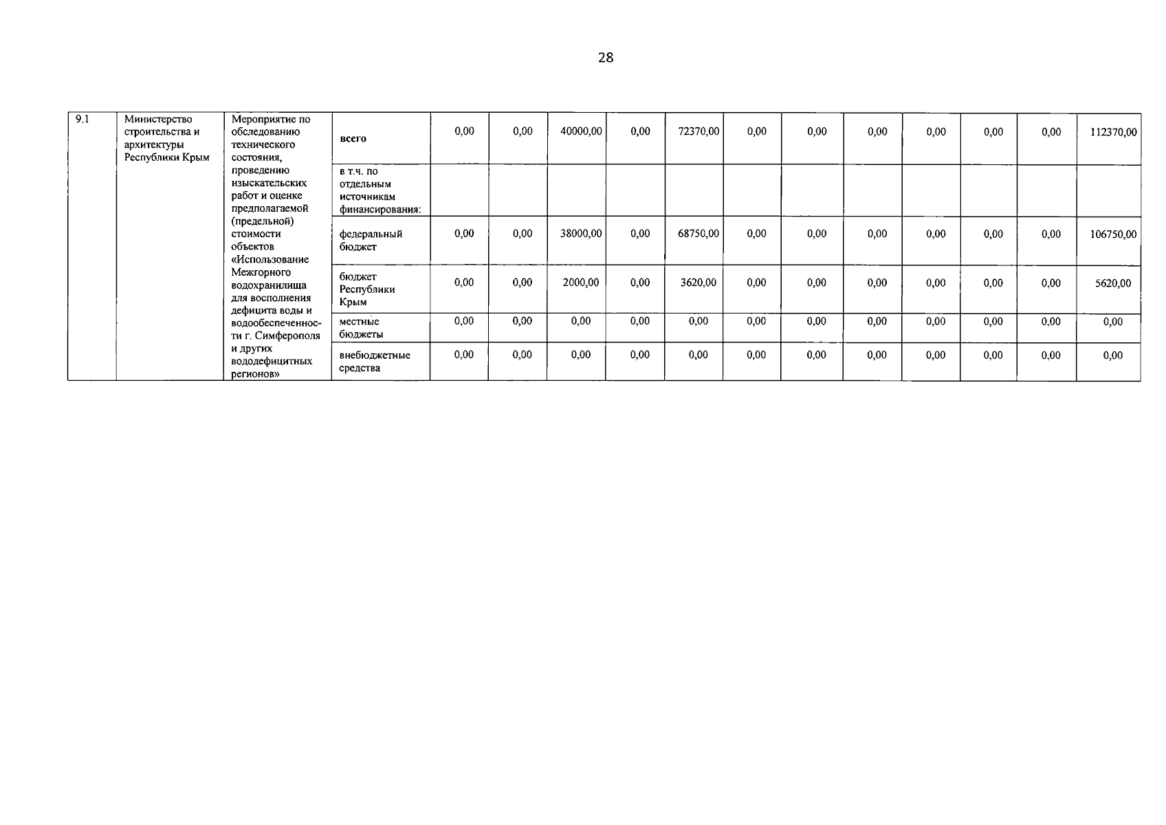
Постановление Совета министров Республики Крым от 29.12.2023 № 993
"О внесении изменений в постановление Совета министров Республики Крым от 22 ноября 2016 года № 566"
Номер опубликования: 9100202401050017
Дата опубликования: 05.01.2024
Страница №28 из 31:
Увеличить